当前位置:首页>郑州>郑州公开招聘535人

郑州公开招聘535人

  • 2026-05-22 19:31:22
郑州公开招聘535人

及时·精准·有效·必备

根据工作需要,经研究,决定面向社会公开招聘聘用制书记员,具体招聘条件和程序如下:

  一、招聘原则

  以习近平新时代中国特色社会主义思想为指导,深入贯彻习近平法治思想,坚持党的领导,坚持遵循司法规律、体现岗位特点,坚持德才兼备和公开、公平、平等、竞争、择优的原则,在考试、考察基础上择优选聘。

 二、招聘计划

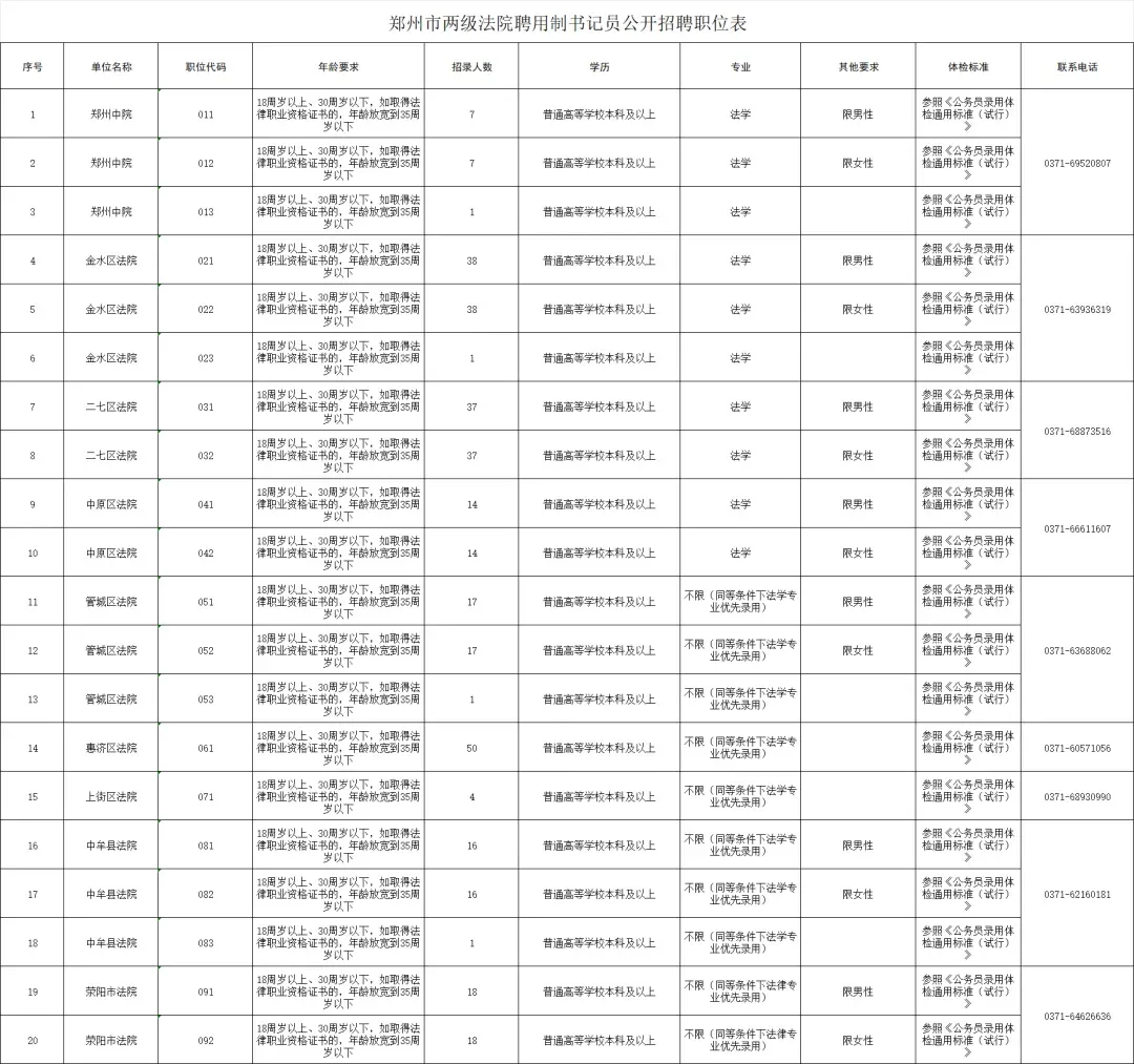
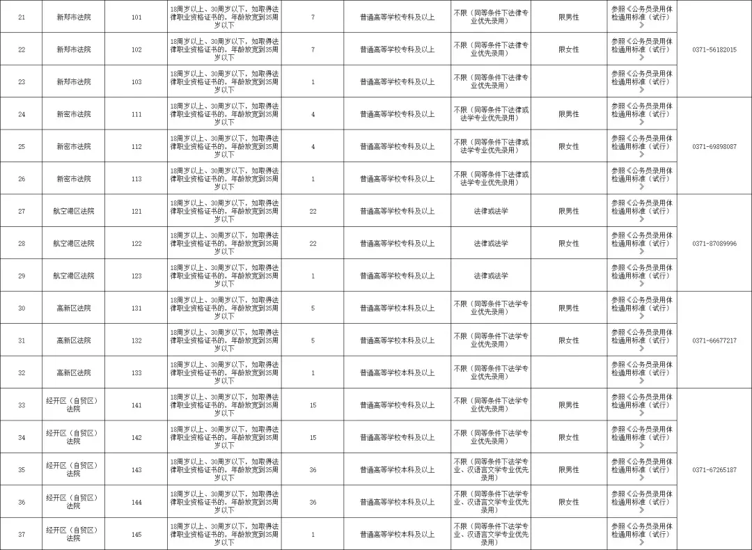
  招聘聘用制书记员535人(详见附件职位表)。

三、相关要求

  (一)报名条件

  1.具有中华人民共和国国籍;

  2.18周岁以上、30周岁以下(1995年3月至2008年3月期间出生),如取得法律职业资格证书A证的,年龄放宽到35周岁以下(1990年3月以后出生);

  3.拥护党的理论和路线方针政策,具有良好的政治素养、专业技能和职业操守;

  4.严格遵守宪法、法律、法规和审判工作纪律、规章制度;

  5.掌握速记等岗位必须的业务技能;

  6.具有正常履行职责的身体条件;

  7.具有普通高等学校专科以上文化程度,具体招聘学历、专业等要求详见附件;应于2026年3月之前取得相应学历及毕业证。

  8.法律、法规规定的其他条件。

  (二)具有下列情形之一者,不予聘用:

  1.曾因犯罪受过刑事处罚的;

  2.曾被开除公职的或被人民法院、检察院辞退的;

  3.涉嫌违纪违法正在接受调查,尚未作出结论的;

  4.违反社会公德、职业道德,造成不良影响的;

  5.因违纪违法受到党纪政务处分、行政拘留的;

  6.被依法列为失信联合惩戒对象的;

  7.本人存在经商办企业等不适宜在法院工作情形的;

  8.本人及其配偶的家庭主要成员、近亲属,在报考法院辖区范围内从事律师工作的,以及存在其他任职回避情形的;

  9.曾在公务员招录、事业单位招聘等公开考试中被认定为有舞弊等严重违反招聘纪律行为的;

  10.现役军人、试用期内的公务员和试用期内的事业单位工作人员、未毕业在校生;

  11.其他不宜担任聘用制书记员的情形。

四、考试录用程序

  (一)信息发布及咨询

  全市法院省核定聘用制书记员招聘工作专用网站为郑州市中级人民法院官网(https://zzfy.hncourt.gov.cn)。招考公告及本次招考总体工作有关的信息和事项通过该网站发布。请报考者随时关注网站信息。凡各环节未按有关通知要求执行的,视为自动弃权。

  在工作时间内可通过咨询电话(详见附件)咨询关于各招考岗位资格条件和资格审查等方面的问题。

  (二)报名程序

  本次招聘考试采取网上报名方式。每名报考者限报考一个岗位。报考者应仔细阅读公告,应全面了解岗位要求,应与自身实际情况逐一对照,自行判断是否具备相应的资格条件、是否符合报考岗位要求等,理性、审慎选择报考岗位,避免误报、错报。如因报考者提供信息不准确或不符合岗位应聘条件,导致影响应聘或被取消应聘资格的,其后果由报考者本人承担。

 1.报名。2026年3月2日9:00至3月8日17:00期间,报考者登录郑州市人事考试网上报名系统(https://www.zzrsks.com.cn)后,点击“郑州市两级法院聘用制书记员招聘”进入网上报名系统,按要求填写个人报名信息后,上传本人证件照及相关材料照片(近期免冠正面证件照红底、蓝底、白底均可,所有照片均应为JPG格式)。报名与考试时使用的有效期内的二代身份证(或有效期内的临时身份证)信息必须一致。报考者必须按照本人毕业证、身份证等相关证件显示的专业名称、个人信息填写报名信息,如出现重复报名、信息不一致或故意填报虚假信息,后果由报考者本人承担。

  报名前,报考者应认真仔细阅读公告内容及诚信承诺书,确保所填报的报名申请信息全面、真实、准确、完整、有效。

  报名需提交材料:

  ①学信网学历认证报告;毕业证书;身份证;有工作单位的需由工作单位出具同意报考证明。

  ②个人无犯罪记录证明。

  ③直系亲属工作单位证明,无工作单位需社区等提供居住证明。

  ④个人无经商办企业证明(查询方式:微信小程序电子营业执照-其他应用-投资任职情况查询)。

  ⑤个人无失信被执行人证明、无失信联合惩戒对象的证明(中国执行信息公开网查询)。

  ⑥30周岁以上报考者需提供取得法律职业资格证书A证。

  2.资格初审。2026年3月2日9:00至3月9日17:00期间,报考者可登录报名网站查看资格审核结果。通过资格初审的,不能再改报其他岗位;报考申请尚未进行初审或未通过报考资格初审的,可以改报其他岗位。报考资料不全或电子照片不符合要求的,报考者应及时补充或更换并按要求再次提交审查。改报岗位、更换照片、修改信息及补充资料时间截至3月9日17:00前,逾期未再次提交审核的,视为自动放弃报名。

  资格审查工作贯穿考试录用全过程,在各环节发现报考者不具备报考资格条件、不符合报考职位要求或者存在不得考录情形的,按规定取消其报考资格或者录用资格。

  3.笔试缴费。已提交审核并通过的报考者,应于2026年3月10日17∶00前通过原报名网站进入缴费系统,按照提示步骤进行网上缴费。未按要求进行缴费的视为放弃报名。报考者因个人原因不能参加考试或放弃参加考试的,已经缴纳的笔试费不予退回。笔试考试费用按照有关规定执行。

  已确认缴费的报考人数与招聘岗位的比例应不低于4:1,达不到规定比例的,相应核减该岗位招聘人数直至取消该岗位招聘。对招聘岗位被取消的报考人员,未按要求重新选报的,视为自愿放弃,退还缴纳的笔试费用。

  4.打印笔试准考证。已确认缴费的报考者,于2026年3月16日9:00至3月21日9:30期间登录郑州市人事考试网上报名系统打印笔试准考证。

  (三)考试

  采取笔试、技能考试、面试相结合的方法进行。

  1.笔试

笔试时间为2026年3月21日上午9:00-11:00。笔试采取闭卷形式,科目内容为法律专业知识和公共基础知识,全部采用客观题,满分100分。

  应试者携带本人有效身份证和笔试准考证,按照笔试准考证上确定的时间、地点和相关要求参加考试。

  按照笔试合格线明确参加技能考试人员名单,并通过郑州市中级人民法院官网(https://zzfy.hncourt.gov.cn)公布。笔试未达到合格分数线的,不得进入技能考试环节。

  2.技能考试

技能考试时间安排在4月6日之前,通过笔试合格线的应试者登录郑州市人事考试网上报名系统(https://www.zzrsks.com.cn)进行技能考试缴费并打印技能考试准考证,携带本人有效身份证和技能考试准考证,按照技能考试准考证上确定的时间、地点和相关要求参加考试。请报考者及时关注郑州市中级人民法院官网发布的相关信息。

 考试科目内容为计算机文字速录、文档编辑、数据报表处理等计算机办公常用技能和相关知识,其中计算机文字速录60分,计算机办公常用技能和相关知识40分,满分100分。

  3.面试

  确定参加面试人员名单:依据笔试成绩和技能考试成绩占比(笔试成绩×40%+技能考试成绩×20%),按照各招聘单位计划招录人数与参加面试人数1:2.5的比例,从高到低确定参加面试人员,比例内末位成绩并列的同时进入面试。进入面试人员名单和面试资格确认时间、地点详见郑州市中级人民法院官网,请报考者注意上网查阅相关考试信息。

  面试确认及资格审查时,应试者应根据面试资格确认的要求,如实提供本人真实、完整的学习经历和工作经历,持本人有效身份证、笔试准考证、毕业证、学信网学历认证报告(留学回国人员需同时提供教育部留学服务中心出具的国外学历认证书等)、个人无犯罪记录证明等报名时所提交材料的原件和复印件1份参加面试资格确认。应试者是在职人员的,还须提供所在单位同意报考证明。

  应试者通过面试资格确认后,现场领取《面试通知书》,并按照《面试通知书》中规定的时间、地点参加面试。逾期不参加面试资格确认的,视为自动放弃面试资格。

  面试确认时,发现应试者不符合招聘条件或提供材料信息不实的,取消其参加面试的资格。面试资格确认期间出现应试人员空缺时,根据缺额从报考同一岗位的人员中按成绩从高分到低分的顺序,依次等额递补符合条件人员参加面试资格确认,并发布面试资格确认递补公告。

 面试采用结构化面试,主要测试履行岗位职责所要求的基本素质和能力,满分为100分。

  面试时间安排在2026年4月13日之前,面试时,应试者应持本人有效身份证、面试通知书,经核验后方可参加面试。逾期未到者,按主动放弃处理。

  面试中有缺考、作弊或成绩为零分的,均不得进入下一个环节。

  (四)体检和考察

  按照拟招聘数1:2的比例,根据笔试、技能考试和面试成绩形成考试总成绩(考试总成绩=笔试成绩×40%+技能考试成绩×20%+面试成绩×40%)确定进入体检考察环节人员,笔试、技能考试、面试成绩和考试总成绩均计算到小数点后两位数。考试总成绩出现并列的,以笔试成绩从高分到低分的顺序排序;笔试成绩也相同的,按技能考试成绩从高分到低分的顺序排序;笔试、技能考试和面试的成绩均相同的,经报郑州市两级法院聘用制书记员招聘工作领导小组同意后加试一场面试,名次按加试的面试成绩排序。

  考试成绩通过郑州市人事考试网上报名系统公布。

  1.体检:参照招录公务员体检标准,选择具有相应体检资质的医院,按照核验身份、收取随身物品、随机抽号、依次体检的流程进行。所有体检项目均不进行复检。体检不合格的,不能确定为考察人选。

  2.考察:考察工作突出政治标准,重点了解考察人选的政治素质、道德品行、能力素质、心理素质、学习和工作表现、遵纪守法、廉洁自律,重点了解身心健康状况,原工作单位情况,与招聘职位的匹配度等情况,有无违规违纪,是否有任职回避情形,对政治上不合格的坚决不予录用。考察时同步对考察对象进行资格审查,实行负面清单制度,对达不到资格条件或者不符合报考职位要求以及存在其他不宜录用情形的,均不得确定为拟招聘人员。

  (五)递补人员的确定

  经体检和考察合格,在拟聘用人员之后,根据成绩排名顺序,按照不高于招录职位人数1:0.5的比例确定递补人员。在本次招聘结束一年内,各招聘单位如有书记员职位空缺,经单位与个人双方沟通确认,可按成绩顺序依次递补聘用。

  (六)公示和聘用

  综合考试总成绩、体检结果和考察情况等,按照人岗相适原则择优确定拟招聘人员和递补人员名单。拟招聘人员及递补人员名单在郑州市中级人民法院官网进行公示,公示期为5个工作日。公示内容包括:拟招聘单位,拟招聘人员姓名、性别、准考证号等,同时公布监督电话接受社会监督。

  公示期满,对没有问题或者反映问题不影响录用的,由委托的劳务派遣公司与拟聘用人员双方签订劳动合同;对有严重问题并查有实据的,不予录用;对反映有严重问题,但一时难以查实的,暂缓录用,待查实并作出结论后再决定是否录用。公示无异议的递补人员名单,作为后续书记员额度空缺时递补聘用的依据。

  五、待遇和保障

  省核定聘用制书记员薪酬待遇等由用人法院依照有关规定执行。

  新招聘聘用制书记员试用期一般为3个月。试用期满后进行考核,考核结果合格的继续留用并转正;对不胜任工作,考核结果不合格的,不予留用,通知本人办理离职手续。

 六、特别提醒

  本次招考不出版也不考试辅导用书,不举办也不委托任何机构或者个人举办考试辅导培训班。对于社会上有关的考试培训、网站或者出版物等,请广大报考者警惕、理性对待,避免上当受骗,防止权益受损。请社会各界加强监督,如发现以上情况,请向相关部门举报,依法依规严肃查处。市法院将会同有关部门,共同维护良好的考试秩序,营造公平公正、安全有序的考试环境。

最新文章

随机文章

基本 文件 流程 错误 SQL 调试
  1. 请求信息 : 2026-05-22 23:34:41 HTTP/2.0 GET : https://i.460.net.cn/a/491246.html
  2. 运行时间 : 0.171835s [ 吞吐率:5.82req/s ] 内存消耗:4,331.38kb 文件加载:140
  3. 缓存信息 : 0 reads,0 writes
  4. 会话信息 : SESSION_ID=c04c52c8aee02bc49aa509077b97dccb
  1. /yingpanguazai/ssd/ssd1/www/i.460.net.cn/public/index.php ( 0.79 KB )
  2. /yingpanguazai/ssd/ssd1/www/i.460.net.cn/vendor/autoload.php ( 0.17 KB )
  3. /yingpanguazai/ssd/ssd1/www/i.460.net.cn/vendor/composer/autoload_real.php ( 2.49 KB )
  4. /yingpanguazai/ssd/ssd1/www/i.460.net.cn/vendor/composer/platform_check.php ( 0.90 KB )
  5. /yingpanguazai/ssd/ssd1/www/i.460.net.cn/vendor/composer/ClassLoader.php ( 14.03 KB )
  6. /yingpanguazai/ssd/ssd1/www/i.460.net.cn/vendor/composer/autoload_static.php ( 4.90 KB )
  7. /yingpanguazai/ssd/ssd1/www/i.460.net.cn/vendor/topthink/think-helper/src/helper.php ( 8.34 KB )
  8. /yingpanguazai/ssd/ssd1/www/i.460.net.cn/vendor/topthink/think-validate/src/helper.php ( 2.19 KB )
  9. /yingpanguazai/ssd/ssd1/www/i.460.net.cn/vendor/topthink/think-orm/src/helper.php ( 1.47 KB )
  10. /yingpanguazai/ssd/ssd1/www/i.460.net.cn/vendor/topthink/think-orm/stubs/load_stubs.php ( 0.16 KB )
  11. /yingpanguazai/ssd/ssd1/www/i.460.net.cn/vendor/topthink/framework/src/think/Exception.php ( 1.69 KB )
  12. /yingpanguazai/ssd/ssd1/www/i.460.net.cn/vendor/topthink/think-container/src/Facade.php ( 2.71 KB )
  13. /yingpanguazai/ssd/ssd1/www/i.460.net.cn/vendor/symfony/deprecation-contracts/function.php ( 0.99 KB )
  14. /yingpanguazai/ssd/ssd1/www/i.460.net.cn/vendor/symfony/polyfill-mbstring/bootstrap.php ( 8.26 KB )
  15. /yingpanguazai/ssd/ssd1/www/i.460.net.cn/vendor/symfony/polyfill-mbstring/bootstrap80.php ( 9.78 KB )
  16. /yingpanguazai/ssd/ssd1/www/i.460.net.cn/vendor/symfony/var-dumper/Resources/functions/dump.php ( 1.49 KB )
  17. /yingpanguazai/ssd/ssd1/www/i.460.net.cn/vendor/topthink/think-dumper/src/helper.php ( 0.18 KB )
  18. /yingpanguazai/ssd/ssd1/www/i.460.net.cn/vendor/symfony/var-dumper/VarDumper.php ( 4.30 KB )
  19. /yingpanguazai/ssd/ssd1/www/i.460.net.cn/vendor/topthink/framework/src/think/App.php ( 15.30 KB )
  20. /yingpanguazai/ssd/ssd1/www/i.460.net.cn/vendor/topthink/think-container/src/Container.php ( 15.76 KB )
  21. /yingpanguazai/ssd/ssd1/www/i.460.net.cn/vendor/psr/container/src/ContainerInterface.php ( 1.02 KB )
  22. /yingpanguazai/ssd/ssd1/www/i.460.net.cn/app/provider.php ( 0.19 KB )
  23. /yingpanguazai/ssd/ssd1/www/i.460.net.cn/vendor/topthink/framework/src/think/Http.php ( 6.04 KB )
  24. /yingpanguazai/ssd/ssd1/www/i.460.net.cn/vendor/topthink/think-helper/src/helper/Str.php ( 7.29 KB )
  25. /yingpanguazai/ssd/ssd1/www/i.460.net.cn/vendor/topthink/framework/src/think/Env.php ( 4.68 KB )
  26. /yingpanguazai/ssd/ssd1/www/i.460.net.cn/app/common.php ( 0.03 KB )
  27. /yingpanguazai/ssd/ssd1/www/i.460.net.cn/vendor/topthink/framework/src/helper.php ( 18.78 KB )
  28. /yingpanguazai/ssd/ssd1/www/i.460.net.cn/vendor/topthink/framework/src/think/Config.php ( 5.54 KB )
  29. /yingpanguazai/ssd/ssd1/www/i.460.net.cn/config/app.php ( 0.95 KB )
  30. /yingpanguazai/ssd/ssd1/www/i.460.net.cn/config/cache.php ( 0.78 KB )
  31. /yingpanguazai/ssd/ssd1/www/i.460.net.cn/config/console.php ( 0.23 KB )
  32. /yingpanguazai/ssd/ssd1/www/i.460.net.cn/config/cookie.php ( 0.56 KB )
  33. /yingpanguazai/ssd/ssd1/www/i.460.net.cn/config/database.php ( 2.47 KB )
  34. /yingpanguazai/ssd/ssd1/www/i.460.net.cn/vendor/topthink/framework/src/think/facade/Env.php ( 1.67 KB )
  35. /yingpanguazai/ssd/ssd1/www/i.460.net.cn/config/filesystem.php ( 0.61 KB )
  36. /yingpanguazai/ssd/ssd1/www/i.460.net.cn/config/lang.php ( 0.91 KB )
  37. /yingpanguazai/ssd/ssd1/www/i.460.net.cn/config/log.php ( 1.35 KB )
  38. /yingpanguazai/ssd/ssd1/www/i.460.net.cn/config/middleware.php ( 0.19 KB )
  39. /yingpanguazai/ssd/ssd1/www/i.460.net.cn/config/route.php ( 1.89 KB )
  40. /yingpanguazai/ssd/ssd1/www/i.460.net.cn/config/session.php ( 0.57 KB )
  41. /yingpanguazai/ssd/ssd1/www/i.460.net.cn/config/trace.php ( 0.34 KB )
  42. /yingpanguazai/ssd/ssd1/www/i.460.net.cn/config/view.php ( 0.82 KB )
  43. /yingpanguazai/ssd/ssd1/www/i.460.net.cn/app/event.php ( 0.25 KB )
  44. /yingpanguazai/ssd/ssd1/www/i.460.net.cn/vendor/topthink/framework/src/think/Event.php ( 7.67 KB )
  45. /yingpanguazai/ssd/ssd1/www/i.460.net.cn/app/service.php ( 0.13 KB )
  46. /yingpanguazai/ssd/ssd1/www/i.460.net.cn/app/AppService.php ( 0.26 KB )
  47. /yingpanguazai/ssd/ssd1/www/i.460.net.cn/vendor/topthink/framework/src/think/Service.php ( 1.64 KB )
  48. /yingpanguazai/ssd/ssd1/www/i.460.net.cn/vendor/topthink/framework/src/think/Lang.php ( 7.35 KB )
  49. /yingpanguazai/ssd/ssd1/www/i.460.net.cn/vendor/topthink/framework/src/lang/zh-cn.php ( 13.70 KB )
  50. /yingpanguazai/ssd/ssd1/www/i.460.net.cn/vendor/topthink/framework/src/think/initializer/Error.php ( 3.31 KB )
  51. /yingpanguazai/ssd/ssd1/www/i.460.net.cn/vendor/topthink/framework/src/think/initializer/RegisterService.php ( 1.33 KB )
  52. /yingpanguazai/ssd/ssd1/www/i.460.net.cn/vendor/services.php ( 0.14 KB )
  53. /yingpanguazai/ssd/ssd1/www/i.460.net.cn/vendor/topthink/framework/src/think/service/PaginatorService.php ( 1.52 KB )
  54. /yingpanguazai/ssd/ssd1/www/i.460.net.cn/vendor/topthink/framework/src/think/service/ValidateService.php ( 0.99 KB )
  55. /yingpanguazai/ssd/ssd1/www/i.460.net.cn/vendor/topthink/framework/src/think/service/ModelService.php ( 2.04 KB )
  56. /yingpanguazai/ssd/ssd1/www/i.460.net.cn/vendor/topthink/think-trace/src/Service.php ( 0.77 KB )
  57. /yingpanguazai/ssd/ssd1/www/i.460.net.cn/vendor/topthink/framework/src/think/Middleware.php ( 6.72 KB )
  58. /yingpanguazai/ssd/ssd1/www/i.460.net.cn/vendor/topthink/framework/src/think/initializer/BootService.php ( 0.77 KB )
  59. /yingpanguazai/ssd/ssd1/www/i.460.net.cn/vendor/topthink/think-orm/src/Paginator.php ( 11.86 KB )
  60. /yingpanguazai/ssd/ssd1/www/i.460.net.cn/vendor/topthink/think-validate/src/Validate.php ( 63.20 KB )
  61. /yingpanguazai/ssd/ssd1/www/i.460.net.cn/vendor/topthink/think-orm/src/Model.php ( 23.55 KB )
  62. /yingpanguazai/ssd/ssd1/www/i.460.net.cn/vendor/topthink/think-orm/src/model/concern/Attribute.php ( 21.05 KB )
  63. /yingpanguazai/ssd/ssd1/www/i.460.net.cn/vendor/topthink/think-orm/src/model/concern/AutoWriteData.php ( 4.21 KB )
  64. /yingpanguazai/ssd/ssd1/www/i.460.net.cn/vendor/topthink/think-orm/src/model/concern/Conversion.php ( 6.44 KB )
  65. /yingpanguazai/ssd/ssd1/www/i.460.net.cn/vendor/topthink/think-orm/src/model/concern/DbConnect.php ( 5.16 KB )
  66. /yingpanguazai/ssd/ssd1/www/i.460.net.cn/vendor/topthink/think-orm/src/model/concern/ModelEvent.php ( 2.33 KB )
  67. /yingpanguazai/ssd/ssd1/www/i.460.net.cn/vendor/topthink/think-orm/src/model/concern/RelationShip.php ( 28.29 KB )
  68. /yingpanguazai/ssd/ssd1/www/i.460.net.cn/vendor/topthink/think-helper/src/contract/Arrayable.php ( 0.09 KB )
  69. /yingpanguazai/ssd/ssd1/www/i.460.net.cn/vendor/topthink/think-helper/src/contract/Jsonable.php ( 0.13 KB )
  70. /yingpanguazai/ssd/ssd1/www/i.460.net.cn/vendor/topthink/think-orm/src/model/contract/Modelable.php ( 0.09 KB )
  71. /yingpanguazai/ssd/ssd1/www/i.460.net.cn/vendor/topthink/framework/src/think/Db.php ( 2.88 KB )
  72. /yingpanguazai/ssd/ssd1/www/i.460.net.cn/vendor/topthink/think-orm/src/DbManager.php ( 8.52 KB )
  73. /yingpanguazai/ssd/ssd1/www/i.460.net.cn/vendor/topthink/framework/src/think/Log.php ( 6.28 KB )
  74. /yingpanguazai/ssd/ssd1/www/i.460.net.cn/vendor/topthink/framework/src/think/Manager.php ( 3.92 KB )
  75. /yingpanguazai/ssd/ssd1/www/i.460.net.cn/vendor/psr/log/src/LoggerTrait.php ( 2.69 KB )
  76. /yingpanguazai/ssd/ssd1/www/i.460.net.cn/vendor/psr/log/src/LoggerInterface.php ( 2.71 KB )
  77. /yingpanguazai/ssd/ssd1/www/i.460.net.cn/vendor/topthink/framework/src/think/Cache.php ( 4.92 KB )
  78. /yingpanguazai/ssd/ssd1/www/i.460.net.cn/vendor/psr/simple-cache/src/CacheInterface.php ( 4.71 KB )
  79. /yingpanguazai/ssd/ssd1/www/i.460.net.cn/vendor/topthink/think-helper/src/helper/Arr.php ( 16.63 KB )
  80. /yingpanguazai/ssd/ssd1/www/i.460.net.cn/vendor/topthink/framework/src/think/cache/driver/File.php ( 7.84 KB )
  81. /yingpanguazai/ssd/ssd1/www/i.460.net.cn/vendor/topthink/framework/src/think/cache/Driver.php ( 9.03 KB )
  82. /yingpanguazai/ssd/ssd1/www/i.460.net.cn/vendor/topthink/framework/src/think/contract/CacheHandlerInterface.php ( 1.99 KB )
  83. /yingpanguazai/ssd/ssd1/www/i.460.net.cn/app/Request.php ( 0.09 KB )
  84. /yingpanguazai/ssd/ssd1/www/i.460.net.cn/vendor/topthink/framework/src/think/Request.php ( 55.78 KB )
  85. /yingpanguazai/ssd/ssd1/www/i.460.net.cn/app/middleware.php ( 0.25 KB )
  86. /yingpanguazai/ssd/ssd1/www/i.460.net.cn/vendor/topthink/framework/src/think/Pipeline.php ( 2.61 KB )
  87. /yingpanguazai/ssd/ssd1/www/i.460.net.cn/vendor/topthink/think-trace/src/TraceDebug.php ( 3.40 KB )
  88. /yingpanguazai/ssd/ssd1/www/i.460.net.cn/vendor/topthink/framework/src/think/middleware/SessionInit.php ( 1.94 KB )
  89. /yingpanguazai/ssd/ssd1/www/i.460.net.cn/vendor/topthink/framework/src/think/Session.php ( 1.80 KB )
  90. /yingpanguazai/ssd/ssd1/www/i.460.net.cn/vendor/topthink/framework/src/think/session/driver/File.php ( 6.27 KB )
  91. /yingpanguazai/ssd/ssd1/www/i.460.net.cn/vendor/topthink/framework/src/think/contract/SessionHandlerInterface.php ( 0.87 KB )
  92. /yingpanguazai/ssd/ssd1/www/i.460.net.cn/vendor/topthink/framework/src/think/session/Store.php ( 7.12 KB )
  93. /yingpanguazai/ssd/ssd1/www/i.460.net.cn/vendor/topthink/framework/src/think/Route.php ( 23.73 KB )
  94. /yingpanguazai/ssd/ssd1/www/i.460.net.cn/vendor/topthink/framework/src/think/route/RuleName.php ( 5.75 KB )
  95. /yingpanguazai/ssd/ssd1/www/i.460.net.cn/vendor/topthink/framework/src/think/route/Domain.php ( 2.53 KB )
  96. /yingpanguazai/ssd/ssd1/www/i.460.net.cn/vendor/topthink/framework/src/think/route/RuleGroup.php ( 22.43 KB )
  97. /yingpanguazai/ssd/ssd1/www/i.460.net.cn/vendor/topthink/framework/src/think/route/Rule.php ( 26.95 KB )
  98. /yingpanguazai/ssd/ssd1/www/i.460.net.cn/vendor/topthink/framework/src/think/route/RuleItem.php ( 9.78 KB )
  99. /yingpanguazai/ssd/ssd1/www/i.460.net.cn/route/app.php ( 1.72 KB )
  100. /yingpanguazai/ssd/ssd1/www/i.460.net.cn/vendor/topthink/framework/src/think/facade/Route.php ( 4.70 KB )
  101. /yingpanguazai/ssd/ssd1/www/i.460.net.cn/vendor/topthink/framework/src/think/route/dispatch/Controller.php ( 4.74 KB )
  102. /yingpanguazai/ssd/ssd1/www/i.460.net.cn/vendor/topthink/framework/src/think/route/Dispatch.php ( 10.44 KB )
  103. /yingpanguazai/ssd/ssd1/www/i.460.net.cn/app/controller/Index.php ( 4.81 KB )
  104. /yingpanguazai/ssd/ssd1/www/i.460.net.cn/app/BaseController.php ( 2.05 KB )
  105. /yingpanguazai/ssd/ssd1/www/i.460.net.cn/vendor/topthink/think-orm/src/facade/Db.php ( 0.93 KB )
  106. /yingpanguazai/ssd/ssd1/www/i.460.net.cn/vendor/topthink/think-orm/src/db/connector/Mysql.php ( 5.44 KB )
  107. /yingpanguazai/ssd/ssd1/www/i.460.net.cn/vendor/topthink/think-orm/src/db/PDOConnection.php ( 52.47 KB )
  108. /yingpanguazai/ssd/ssd1/www/i.460.net.cn/vendor/topthink/think-orm/src/db/Connection.php ( 8.39 KB )
  109. /yingpanguazai/ssd/ssd1/www/i.460.net.cn/vendor/topthink/think-orm/src/db/ConnectionInterface.php ( 4.57 KB )
  110. /yingpanguazai/ssd/ssd1/www/i.460.net.cn/vendor/topthink/think-orm/src/db/builder/Mysql.php ( 16.58 KB )
  111. /yingpanguazai/ssd/ssd1/www/i.460.net.cn/vendor/topthink/think-orm/src/db/Builder.php ( 24.06 KB )
  112. /yingpanguazai/ssd/ssd1/www/i.460.net.cn/vendor/topthink/think-orm/src/db/BaseBuilder.php ( 27.50 KB )
  113. /yingpanguazai/ssd/ssd1/www/i.460.net.cn/vendor/topthink/think-orm/src/db/Query.php ( 15.71 KB )
  114. /yingpanguazai/ssd/ssd1/www/i.460.net.cn/vendor/topthink/think-orm/src/db/BaseQuery.php ( 45.13 KB )
  115. /yingpanguazai/ssd/ssd1/www/i.460.net.cn/vendor/topthink/think-orm/src/db/concern/TimeFieldQuery.php ( 7.43 KB )
  116. /yingpanguazai/ssd/ssd1/www/i.460.net.cn/vendor/topthink/think-orm/src/db/concern/AggregateQuery.php ( 3.26 KB )
  117. /yingpanguazai/ssd/ssd1/www/i.460.net.cn/vendor/topthink/think-orm/src/db/concern/ModelRelationQuery.php ( 20.07 KB )
  118. /yingpanguazai/ssd/ssd1/www/i.460.net.cn/vendor/topthink/think-orm/src/db/concern/ParamsBind.php ( 3.66 KB )
  119. /yingpanguazai/ssd/ssd1/www/i.460.net.cn/vendor/topthink/think-orm/src/db/concern/ResultOperation.php ( 7.01 KB )
  120. /yingpanguazai/ssd/ssd1/www/i.460.net.cn/vendor/topthink/think-orm/src/db/concern/WhereQuery.php ( 19.37 KB )
  121. /yingpanguazai/ssd/ssd1/www/i.460.net.cn/vendor/topthink/think-orm/src/db/concern/JoinAndViewQuery.php ( 7.11 KB )
  122. /yingpanguazai/ssd/ssd1/www/i.460.net.cn/vendor/topthink/think-orm/src/db/concern/TableFieldInfo.php ( 2.63 KB )
  123. /yingpanguazai/ssd/ssd1/www/i.460.net.cn/vendor/topthink/think-orm/src/db/concern/Transaction.php ( 2.77 KB )
  124. /yingpanguazai/ssd/ssd1/www/i.460.net.cn/vendor/topthink/framework/src/think/log/driver/File.php ( 5.96 KB )
  125. /yingpanguazai/ssd/ssd1/www/i.460.net.cn/vendor/topthink/framework/src/think/contract/LogHandlerInterface.php ( 0.86 KB )
  126. /yingpanguazai/ssd/ssd1/www/i.460.net.cn/vendor/topthink/framework/src/think/log/Channel.php ( 3.89 KB )
  127. /yingpanguazai/ssd/ssd1/www/i.460.net.cn/vendor/topthink/framework/src/think/event/LogRecord.php ( 1.02 KB )
  128. /yingpanguazai/ssd/ssd1/www/i.460.net.cn/vendor/topthink/think-helper/src/Collection.php ( 16.47 KB )
  129. /yingpanguazai/ssd/ssd1/www/i.460.net.cn/vendor/topthink/framework/src/think/facade/View.php ( 1.70 KB )
  130. /yingpanguazai/ssd/ssd1/www/i.460.net.cn/vendor/topthink/framework/src/think/View.php ( 4.39 KB )
  131. /yingpanguazai/ssd/ssd1/www/i.460.net.cn/vendor/topthink/framework/src/think/Response.php ( 8.81 KB )
  132. /yingpanguazai/ssd/ssd1/www/i.460.net.cn/vendor/topthink/framework/src/think/response/View.php ( 3.29 KB )
  133. /yingpanguazai/ssd/ssd1/www/i.460.net.cn/vendor/topthink/framework/src/think/Cookie.php ( 6.06 KB )
  134. /yingpanguazai/ssd/ssd1/www/i.460.net.cn/vendor/topthink/think-view/src/Think.php ( 8.38 KB )
  135. /yingpanguazai/ssd/ssd1/www/i.460.net.cn/vendor/topthink/framework/src/think/contract/TemplateHandlerInterface.php ( 1.60 KB )
  136. /yingpanguazai/ssd/ssd1/www/i.460.net.cn/vendor/topthink/think-template/src/Template.php ( 46.61 KB )
  137. /yingpanguazai/ssd/ssd1/www/i.460.net.cn/vendor/topthink/think-template/src/template/driver/File.php ( 2.41 KB )
  138. /yingpanguazai/ssd/ssd1/www/i.460.net.cn/vendor/topthink/think-template/src/template/contract/DriverInterface.php ( 0.86 KB )
  139. /yingpanguazai/ssd/ssd1/www/i.460.net.cn/runtime/temp/ea612fc1da910b74827694dd9af81119.php ( 11.98 KB )
  140. /yingpanguazai/ssd/ssd1/www/i.460.net.cn/vendor/topthink/think-trace/src/Html.php ( 4.42 KB )
  1. CONNECT:[ UseTime:0.000582s ] mysql:host=127.0.0.1;port=3306;dbname=i460;charset=utf8mb4
  2. SHOW FULL COLUMNS FROM `fenlei` [ RunTime:0.001632s ]
  3. SELECT * FROM `fenlei` WHERE `fid` = 0 [ RunTime:0.000806s ]
  4. SELECT * FROM `fenlei` WHERE `fid` = 63 [ RunTime:0.005544s ]
  5. SHOW FULL COLUMNS FROM `set` [ RunTime:0.000552s ]
  6. SELECT * FROM `set` [ RunTime:0.000231s ]
  7. SHOW FULL COLUMNS FROM `article` [ RunTime:0.000616s ]
  8. SELECT * FROM `article` WHERE `id` = 491246 LIMIT 1 [ RunTime:0.000458s ]
  9. UPDATE `article` SET `lasttime` = 1779464081 WHERE `id` = 491246 [ RunTime:0.003910s ]
  10. SELECT * FROM `fenlei` WHERE `id` = 64 LIMIT 1 [ RunTime:0.000312s ]
  11. SELECT * FROM `article` WHERE `id` < 491246 ORDER BY `id` DESC LIMIT 1 [ RunTime:0.002560s ]
  12. SELECT * FROM `article` WHERE `id` > 491246 ORDER BY `id` ASC LIMIT 1 [ RunTime:0.001875s ]
  13. SELECT * FROM `article` WHERE `id` < 491246 ORDER BY `id` DESC LIMIT 10 [ RunTime:0.002821s ]
  14. SELECT * FROM `article` WHERE `id` < 491246 ORDER BY `id` DESC LIMIT 10,10 [ RunTime:0.001150s ]
  15. SELECT * FROM `article` WHERE `id` < 491246 ORDER BY `id` DESC LIMIT 20,10 [ RunTime:0.001910s ]
0.174037s