










扫二维码(或长按图片识别)关注公众号,免费享用丰富学习资料
【高考作文模拟】“登临”——哈三中2026届高三一模作文审题立意行文实例
高三物理:东北三省三校(辽宁省实验中学、东北师大附中、哈师大附中)2026届高三下学期一模联考物理试卷+答案
高三数学:浙江省Z20名校联盟2026届高三第二次联考数学试题+参考答案
新高考数学:空间线面关系 · 向量法求空间角-立体几何模拟考题解析实例
理科实验班:芯片制造之离子注入通过磁分析器-高考物理模拟压轴题解析实例
高三物理:福建省厦门市2026届高三下学期开学联考物理试题+答案
高二化学:辽宁省名校联盟2027届高二下学期3月测试化学试卷+答案
【材料作文】在人群中,与自己相遇——陕西商洛高三作文审题立意行文实例
【漫画作文】相信的不是树枝,而是翅膀——辽宁大连滨城高中联盟作文审题立意行文实例
《惊蛰无声》电影佐文:时代担当、无名英雄、困境中的抉择、信任与背叛(高考作文素材)
【漫画作文】心定 · 脚行——辽宁省实验中学高一作文审题立意行文实例
实验班数学:双曲线方程 · 直线斜率-圆锥曲线模拟考题解析实例
【材料作文】默茨来访:逝水与箭影——时间的中西对话-材料作文审题立意行文实例
高三语文:东北三省三校(辽宁省实验中学、东北师大附中、哈师大附中)2026届高三下学期一模联考语文试卷+答案
高三英语:东北三省三校(辽宁省实验中学、东北师大附中、哈师大附中)2026届高三下学期一模联考英语试卷+答案
【名校题解】新高考数学:导函数与不等式综合模拟考题解析实例(合肥一中考题)
【材料作文】“囧事” · “幸事” · “要事”——湖南株洲高三作文审题立意行文实例
新高考数学:抛物线方程 · 面积最值-圆锥曲线模拟考题解析实例
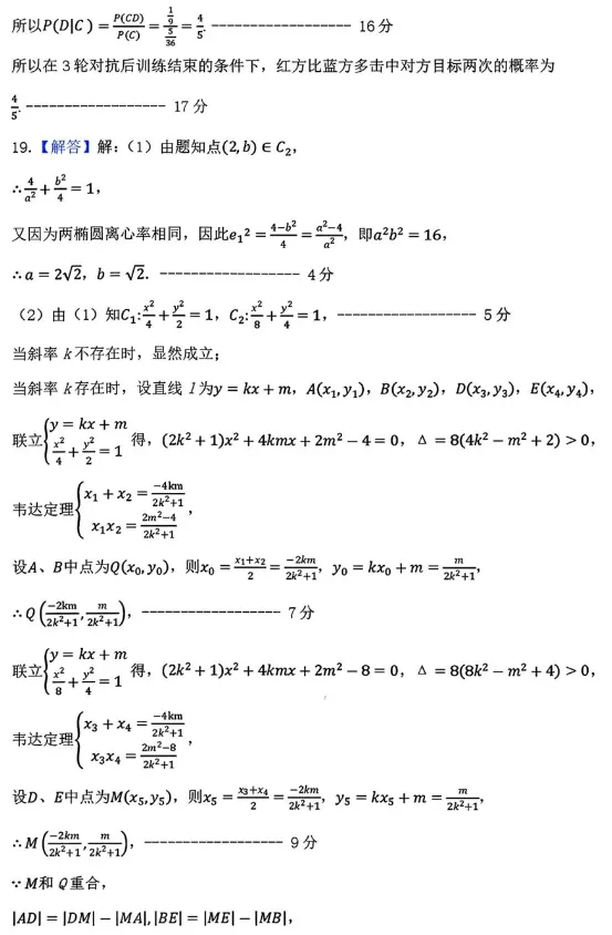
《飞驰人生3》电影佐文:人与科技的关系、困境中的坚守、公平与担当(高考作文素材)
名校题解:广义二项式定理与数列的生成函数综合模拟压轴题解析实例(合肥一中考题)
实验班数学:三角函数与解三角形模拟考题解析实例(T8八校联考)
【材料作文】苏格拉底:改变的秘诀——山西高三作文审题立意行文实例
【高考作文模拟】“聚光灯效应” · “邓宁—克鲁格效应”——高三作文审题立意行文实例
【漫画作文】“马年木马计”——王锦松漫画作文审题立意行文实例
【名校题解】新高考数学:双曲线方程 · 圆过定点 · 定圆存在性-深圳中学、华南师大附中、广东省实验中学、广雅中学联考圆锥曲线考题解析
实验班每日一题:数列变换新定义模拟压轴题解析(T8八校联考)
【新高考数学】AI机器人射门游戏问题-概率与数学期望压轴题模拟考题解析实例
【漫画作文】点赞容易,点醒难-浙江宁波高三作文审题立意行文实例
实验班数学:集合数列“关联函数”新定义导数模拟压轴题解题实例
【实验班数学】椭圆方程 · 直线过定点-高考数学圆锥曲线模拟考题解析实例
实验班每日一题:曲线的曲率-新高考数学新定义压轴题模拟考题解析实例
【理科实验班】旋转伸缩变换:复数 · 三角函数 · 迭代映射-新高考数学新定义压轴题模拟考题解析实例
【理科实验班】导函数与不等式综合-新高考数学压轴题模拟考题解析实例
【材料作文】“看到的和看不到的”——南通中学作文审题立意行文实例
【材料作文】灾难:个体不屈与群体守望-重庆南开中学作文审题立意行文实例
【理科实验班】导函数综合应用-高考数学压轴题模拟考题解析实例
【满分作文】“世界上最大的监狱”——辽宁材料作文考题审题立意行文实例
【满分作文】哈尔滨九中:一封信,与诸子对话——考题审题立意行文实例
实验班数学:“向量列” ——新高考数学新定义压轴题考题解析实例
【实验班物理】牛顿第二定律 · 动量守恒定律 · 功能关系-高三物理力学考题解析实例
【满分作文】哈尔滨三中考题:本末终始——高二作文考题审题立意行文实例
【满分作文】上海延安中学考题:世界为窑,我们为陶土——高二作文考题审题立意行文实例
【满分作文】“自知者明” · “寻求认同”——河南省郑州八校高二作文审题立意行文实例
【理科实验班】双曲线 · 不等式证明——圆锥曲线压轴题模拟考题解析实例
【实验班数学】圆锥曲线轨迹方程 · 直线过定点问题-高三数学解析几何压轴题解析实例
【漫画作文】黄永玉先生《芥末居杂记》的漫画《宫商驴》——浙江温州高考适应考作文审题立意行文实例
【漫画作文】第一步便是下山——辽宁省实验中学高三作文审题立意行文实例
理科实验班:带电粒子在电磁场中的运动——物理压轴题模拟考题解析
理科实验班:“压缩函数”“基本数列”——新高考数学新定义压轴题解题实例
高考数学满分计划 || 导数与数列综合压轴题模拟考题解析实例
