七天内可免费下载,七天后不再提供下载
下载方法:关注微信公众号数学教与学,在今天发表的文中找到红色回复码,在后台(发消息界面)回复找到的红色回复码就会自动出现下载地址,因时间有限,不要留言给我或者发私信给我.找不到发消息界面看下面的文章。
vip群有哪些资料?
vip群除了包括微信公众号发布的优质试题无水印版外,还提供比微信公众号多得多的试题和资料,具体包括下列资料:
1.vip群有全国各地教育发达省份优质联考题和全国顶级名校试题和竞赛试题(从初一到高三各个年级都有)。
2.vip群用户量身定制资料:vip群用户可以私聊群主上传用户所在省、地的各个年级的资料。另外,还有各个年级的同步资料和中考、高考一轮、二轮、三轮复习资料。
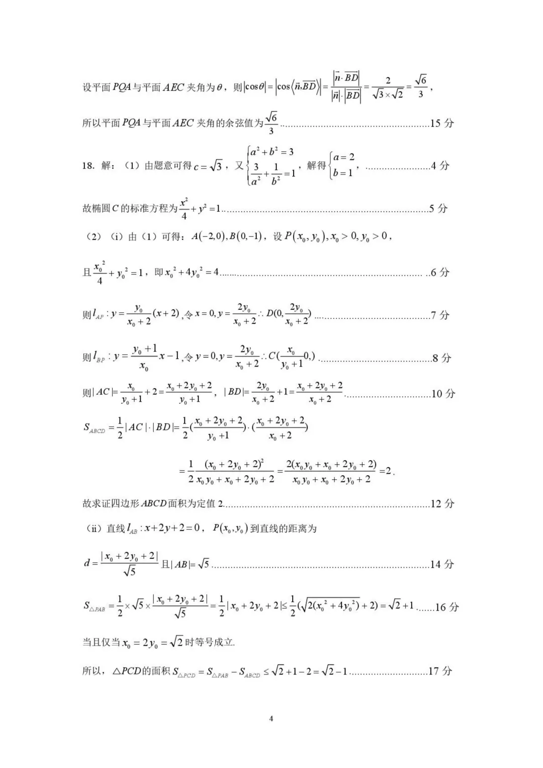
需要付费进vip群请扫码加管理员微信咨询,资料整理不易,白piao勿加













