研究内容
质子交换膜(PEM)水电解是一种有前景的大规模制氢策略;然而,由于在酸性环境中缺乏高活性和耐用的析氧反应(OER)催化剂,其工业可行性受到阻碍。钌(Ru)基催化剂具有较高的固有活性,但容易溶解和结构退化。
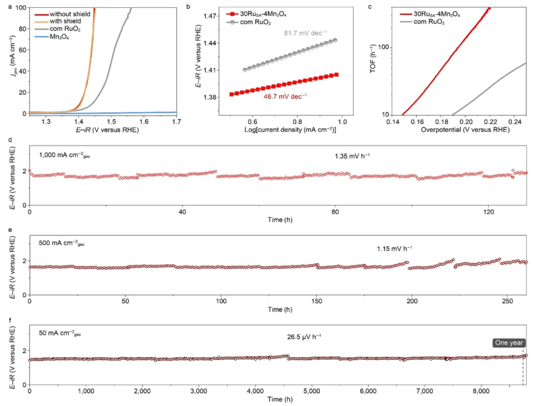
为了解决这个问题,郑州大学卢思宇提出了一种电诱导的“纳米屏蔽”策略。Ru单原子掺杂的Mn3O4(Ru-Mn3O4)催化剂能够原位自发重建催化剂表面结构。在电场作用下,Mn3O4晶体发生层间滑移和极化旋转,在催化剂表面诱导多孔MnO2纳米屏蔽的生长,有效地抑制了Ru活性位点的溶解,而不会影响反应活性。该催化剂表现出优异的OER性能,在0.5 M H2SO4中仅以176 mV的过电位提供10 mA cmgeo-2,并在50 mA cmgeo-2的电流密度下保持稳定一年多(8800小时)。基于Ru-Mn3O4的PEM电解槽在1000 mA cmgeo-2时的衰减率为0.15 mV h−1,在500 mA cmgeo−2时仅为0.06 mV h−1,优于商用RuO2。相关工作以“Electrochemical Formation of a MnO2 Nanoshield on Ru-Doped Mn3O4 for Ultrastable Acidic Oxygen Evolution Catalysis”为题发表在国际著名期刊Journal of the American Chemical Society上。

研究要点
要点1. 作者选择具有结构响应性的Mn3O4作为催化剂支架。Mn3O4是一种混合价尖晶石氧化物,其晶体结构在电场作用下表现出层间滑移和极化旋转行为。这些独特的结构响应能够在电化学条件下进行局部重建,为在表面原位生成保护性结构层提供了可能性。
要点2. 利用这一特性,作者开发了一种Ru单原子掺杂的Mn3O4催化剂(Ru-Mn3O4),其中Ru选择性地占据八面体Mn位点,在电场下诱导自发表面演化,形成三维分级MnO2纳米屏蔽(RuSA-Mn3O4@NS)。这种结构有效地封装了内部Ru活性位点,防止了它们的溶解和损失,而其固有的微纳孔隙率为反应物的运输创造了多尺度通道,从而在保持高反应效率的同时提高了OER的稳定性。
要点3. Ru-Mn3O4在0.5 M H2SO4电解质中表现出优异的OER性能,在仅176 mV的过电位下实现了10 mA cmgeo-2的电流密度,超过了商用RuO2。使用纳米屏蔽,Ru-Mn3O4在50 mA cmgeo-2的电流密度下连续运行一年多(8800小时),在500 mA cmgeo-2的电压密度下衰减率为1.15 mV h−1。在PEM电解槽中,Ru-Mn3O4在1000 mA cmgeo-2下的降解速率为0.15 mV h−1,在500 mA cmgeo-2下的降解率仅为0.06 mV h−1,突显了纳米屏蔽的保护作用。
本研究为构建高性能酸性OER催化剂提供了一条新途径,并展示了纳米屏蔽策略在电催化结构保护方面的巨大潜力。
研究图文

图1.RuSA-Mn3O4@NS电催化剂的结构特征。

图2.制备的催化剂在酸性电解质中的OER活性和长期稳定性。

图3.30RuSA-4Mn3O4在酸性OER过程中的溶解行为及其在80°C下PEM电解槽中的活性和稳定性。

图4.理论模拟。
文献详情
Electrochemical Formation of a MnO2 Nanoshield on Ru-Doped Mn3O4 for Ultrastable Acidic Oxygen Evolution Catalysis
Haoqiang Song, Jingkun Yu, Mingjun Nie, Shaobo Cheng, Zhiyong Tang, Siyu Lu*
J. Am. Chem. Soc.
DOI: https://doi.org/10.1021/jacs.5c18952
扫描下方二维码,可直达阅读原文。

往期回顾

版权声明:「崛步化学」旨在分享学习交流化学、材料等领域的最新资讯及研究进展。编辑水平有限,上述仅代表个人观点。投稿,荐稿或合作请后台联系编辑。感谢各位关注!