


本研究针对甲烷光催化偶联制高值C₂⁺化学品中活性与选择性难以兼顾的挑战,设计并制备了Au₂₄Zn₁纳米团簇修饰的ZnO催化剂。
研究表明,该催化剂通过促进光生载流子分离,在批次反应器中实现了663.1 μmol·g⁻¹·h⁻¹的C₂⁺产物收率及93.5%的选择性。机理上,体系中的·OH自由基(源自水分解)直接活化甲烷生成·CH₃自由基,而·OOH自由基(源自氧还原)则调控·OH浓度以抑制过度氧化。
该工作不仅阐明了一种不同于传统空穴路径的甲烷活化新机制,也为金属团簇基光催化剂的设计提供了重要参考。

要点1. 提出并验证了甲烷光催化偶联的“双自由基协同调控”新机制
通过原位EPR和捕获实验,明确证实了在H₂O和O₂共存条件下,体系同时生成•OH和•OOH两种活性氧自由基。其创新性在于揭示了•OH直接活化甲烷生成•CH₃,而•OOH则通过调控•OH浓度来抑制过度氧化,并消耗质子和电子以促进反应循环。这一协同机制与传统的光生空穴直接活化路径显著不同,为高选择性生成C₂+产物提供了关键解释。
要点2. 设计并合成了具有明确结构的Zn掺杂金纳米团簇(Au₂₄Zn₁)作为高效助催化剂
成功制备了原子数精确、结构明确的Au₂₄Zn₁-p-MBA纳米团簇,并将其负载于ZnO上。Zn的掺杂不仅稳定了团簇结构(相较于Au₂₅/ZnO表现出更优的稳定性),还通过与ZnO的强相互作用,作为空穴捕获中心,显著加速了光生载流子的分离,从而提升了催化活性。这种原子级精确的掺杂团簇为在分子层面研究结构-性能关系提供了理想平台。
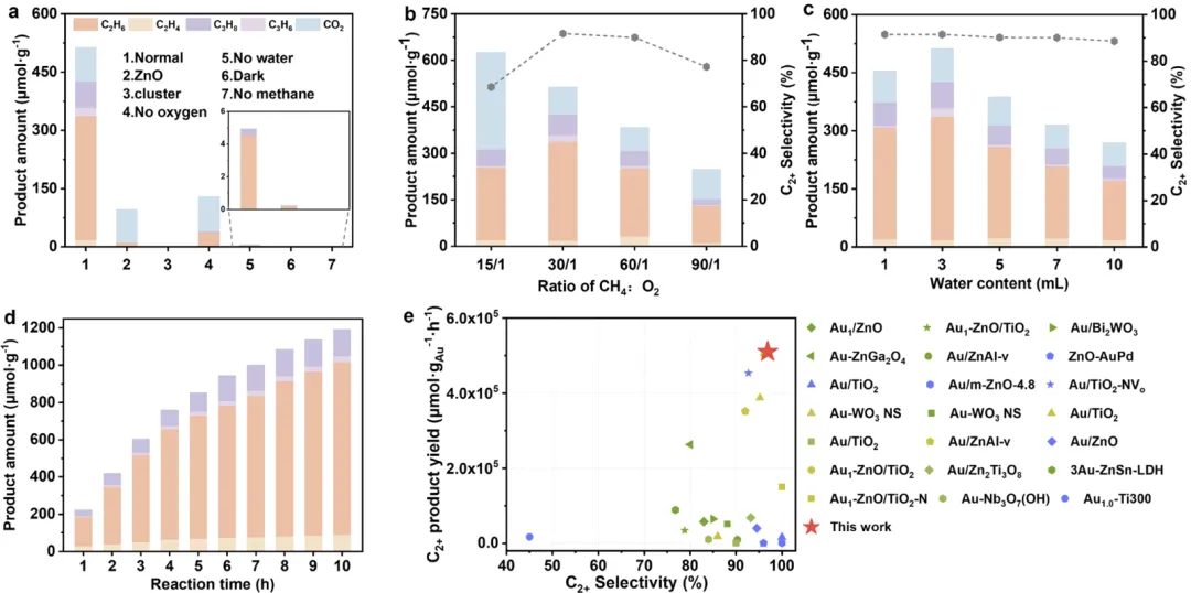
要点3. 在批式反应器中实现了甲烷光催化偶联的高活性与高选择性兼得
得益于上述催化剂设计与反应机制的优化,该Au₂₄Zn₁/ZnO催化体系在温和的批式反应器条件下,取得了C₂+产物产率663.1 μmol·g_cat⁻¹·h⁻¹且选择性超过93.5%的优异性能。这突破了该反应中通常难以同时实现高活性与高选择性的瓶颈,展示了其潜在的应用价值。

图 1. (a) Au₂₄Zn₁−p-MBA 团簇的电喷雾电离质谱(负离子模式)。插图中的黑色线代表 [Au₂₄Zn₁(p-MBA)₁₈−3H]³⁻的模拟同位素分布。(b) Au₂₄Zn₁−p-MBA 团簇的紫外 - 可见吸收光谱。插图展示了 Au₂₄Zn₁−p-MBA 团簇的结构示意图,其中p-MBA 配体仅用 S 原子表示。(c) Au₂₄Zn₁/ZnO 的透射电镜(TEM)图像;插图显示了 ZnO 的晶格条纹。(d) 从 Au₂₄Zn₁/ZnO 上剥离的 Au₂₄Zn₁团簇的高角环形暗场(HAADF)像和能谱(EDX)元素分布图。

图 2. (a) Au₂₄Zn₁/ZnO 催化剂在不同反应条件下的催化性能。Au₂₄Zn₁/ZnO 催化剂的性能:(b) 不同 CH₄/O₂比例下的催化活性;(c) 直径 2.9 cm 反应釜中不同水含量下的催化活性;(d) 直径 3.6 cm 反应釜中 C₂₊产物收率随反应时间的变化。反应条件:催化剂用量 10 mg,反应气 CH₄/O₂=30/1,去离子水 3 mL,氙灯功率 300 W。(e) 已报道催化剂在 CH₄光催化偶联反应中的活性与选择性对比。蓝色符号代表甲烷非氧化偶联反应,绿色符号代表间歇式反应釜中甲烷氧化偶联反应,黄色符号代表流动式反应釜中甲烷氧化偶联反应。

图 3. Au₂₄Zn₁/ZnO 催化剂在黑暗和光照条件下的 XPS 谱图:(a) Au 4f 区域,(b) Zn 2p 区域。(c) Au₂₄Zn₁/ZnO 催化剂在光照和黑暗条件下的 CO–DRIFT 谱图。(d) Au₂₄Zn₁/ZnO 与 ZnO 的稳态光致发光(PL)谱图。以 DMPO 为自由基捕获剂,在 Au₂₄Zn₁/ZnO 催化剂上进行电子顺磁共振(EPR)捕获实验,以监测 (e)・OH、・CH₃和 (f)・OOH 活性物种的生成。(g) Au₂₄Zn₁/ZnO 体系中活性氧物种(ROS)的淬灭实验。(h)・OOH 与・OH 自由基的淬灭实验对比,以及无氧或无水条件下的对照实验。(i) 在 Ar 和 O₂氛围下,以香豆素为捕获剂,通过荧光探针法对・OH 自由基进行的原位捕获实验。插图中的化学反应是香豆素检测・OH 的机理。
文献链接:
https://doi.org/10.1021/jacs.5c22091
*以上内容,如有误读和纰漏,敬请指正。
丨往期精彩内容
1 他,90后,独立PI后发表16篇Nature/Science正刊及子刊,今又发Nature正刊
2 殷亚东组再发Science:通过磁性纳米结构调控,可以将手性转移到任何非手性分子
3 刚发完Nat Mater,又发Nat Energy,南策文/林元华团队的这个博后不简单
4 我们道歉,化物所邓德会团队不是一次发2篇大子刊,而是3篇!2 Nat Cataly+1 Nat Synth
备注:
1. 由于小编学识有限,如有疏漏与谬误,恳请批评并留言指正!
2. 本文所涉及图文、视频仅用于科研交流,如涉及版权问题,请与我们联系!(微信:
157 1575 0735)
3. 欢迎大家到学研汇宣传相关科研成果,联系小编微信157 1575 0735

—END—

157 1575 0735|