当前位置:首页>郑州>郑州大学JCP | 离子液体 [Hbet][Tf₂N]–H₂O 体系对锌钴渣中锌的高选择性溶解与同步萃取:一种新型锌钴分离方法

郑州大学JCP | 离子液体 [Hbet][Tf₂N]–H₂O 体系对锌钴渣中锌的高选择性溶解与同步萃取:一种新型锌钴分离方法

  • 2026-03-31 08:51:28
郑州大学JCP | 离子液体 [Hbet][Tf₂N]–H₂O 体系对锌钴渣中锌的高选择性溶解与同步萃取:一种新型锌钴分离方法

一作者:黄宇坤通讯作者曹亦俊

通讯单位:郑州大学化工学院

DOI:https://doi.org/10.1016/j.jclepro.2021.128301
锌海绵生产过程中产生的锌钴渣(ZCS)是一种含有重金属离子的危险固体废物,同时也是钴的二次资源。实现锌和钴的有效分离是综合回收的关键问题。本文提出了一种利用羧基功能化离子液体([Hbet][Tf₂N])分离锌和钴的新型清洁方法。该创新方法在 [Hbet][Tf₂N]-H₂O 系统的加热和冷却过程中,通过选择性溶解同步萃取的双重分离模式,实现了极佳的锌钴分离效果。 在 90 ℃、60 分钟的条件下,氧化锌的溶解率达到 92.6%,而钴和锰的溶解量极低(分别为 5.37% 和 0.05%)。金属氧化物 MₓOᵧ 在该系统中的选择性溶解机制可通过与其晶格能(U)相关的 U/x 值来解释。此外,通过草酸溶液对负载锌的 [Hbet][Tf₂N] 进行反萃取,实现了锌的回收和离子液体的再生。本研究展示了一种高效的锌钴分离技术,对于分离性质相似的金属元素具有广泛的应用前景。
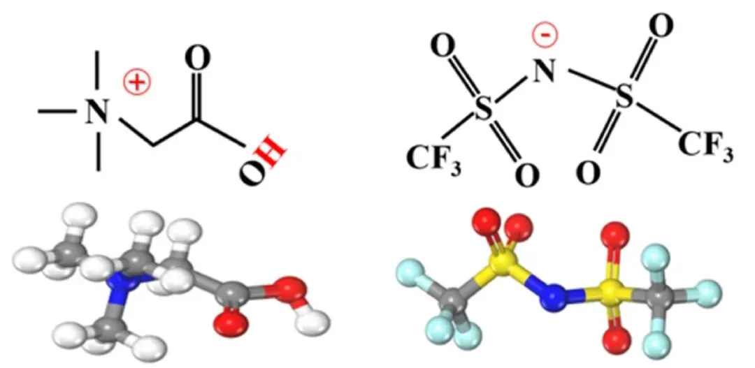
图 1. 离子液体 [Hbet][Tf 2 N] 的结构
 展示了倍他因双(三氟甲基磺酰)亚胺盐([Hbet][Tf₂N])的化学组成,由带羧基的 [Hbet]⁺ 阳离子和疏水性的 [Tf₂N]⁻ 阴离子组成。
热敏相行为 (UCST): 该系统具有“上限临界共溶温度”特性。在室温下与水不混溶,形成两相;加热时,氢键作用改变使两相合并为均相。这种特性允许在均相下进行快速的“选择性溶解”,而在冷却分相时实现“同步萃取”。
酸性功能化: 阳离子上的羧基(-COOH)是质子供体,其酸性强于普通羧酸但弱于无机酸,这种温和的酸性是实现金属氧化物“选择性”溶解的化学基础。 
图 2. 焙烧温度对锌钴渣溶解的影响。溶解实验在温度 80 °C、时间 1 h、液固比(L/S)40 mL/g、[Hbet][Tf2N]–H2O 体积比 7:3 的条件下进行
图 3. 烧结后的锌钴渣(ZCS)的 XRD 图谱(a),ZCS 和 700 °C 烧结样品的 XPS 光谱全扫描图(b),以及相应的 Co 2p 谱图(c)
分析了 300 ℃ 至 800 ℃ 焙烧处理对锌、钴、锰回收效果的影响,并结合 XRD/XPS 表征物相变化。
物相重构的抑制效应: 随着温度升高,Zn 溶解率剧减,这是因为 ZCS 中的 ZnO 与 Co/Mn 氧化物发生了固相反应,形成了尖晶石结构的 MnCo₂O₄ 或其锌掺杂物。
晶格能的约束: 焙烧使金属从松散的氧化物转变为结构紧密的复合氧化物,其晶格能显著增大。XRD 偏移证实了 Zn²⁺ 嵌入了 Mn-Co 晶格,这种嵌入导致 [Hbet]⁺ 难以通过质子交换将其剥离,从动力学上限制了锌的浸出。
图 4. 反应温度(a)、时间(b)、[Hbet][Tf2N]–H2O 体积比(c)和 L/S 比(d)对锌-钴渣中 Zn、Co 和 Mn 溶解的影响。温度为 60 °C–90 °C,反应时间为 20–120 min,[Hbet][Tf2N]-H2O 体积比为 4:6–8:2,L/S 比为 20–80 ml/g
 探讨了温度、时间、IL/水比例、液固比对分离因子(β)的影响。
 溶剂化与黏度的平衡: 增加 IL 浓度虽能提高 H⁺ 浓度,但会使溶液黏度激增,阻碍质子向固体颗粒表面的扩散。实验确定的 IL:H₂O = 6:4(体积比)是质子活性与扩散速率的最佳平衡点。
分离因子的热力学驱动: 在 90 ℃ 时 β{Zn/Co} 达到最大值,说明此时 Zn-O 键的断裂速度远超 Co-O 键。过高的液固比会强制溶解性质不活泼的 Co,导致选择性下降。
表 1. 基于晶格能数据计算的一些金属氧化物的对应 U/x 值
列出了各种金属氧化物的晶格能(U)与 U/x 值(x 为金属原子数)。
溶解性预测模型: 本研究提出了一个突破性的判据:U/x < 7000 kJ/mol。ZnO 的 U/x 约为 4000 左右,远低于该阈值,因此极易溶解。而 Co₃O₄ 和 MnO₂ 的 U/x 均高于 10000,在 [Hbet]⁺ 提供的温和酸性环境下,不足以克服其晶格能使其解离。
本质区别: 这一理论解释了为何该系统能从成分复杂的废渣中精准“钓”出锌,而保留钴和锰。
图 5. 离子液体和水相中 Zn 2+ 和 Co 2+ 的分配比。加热溶解系统被置于室温水中并冷却 1 小时,然后通过分液漏斗将离子液体和水溶液分离。使用 ICP-AES 测量这些相中 Zn 2+ 和 Co 2+ 的含量,以计算它们的溶解比
表 2. 反萃取后[Hbet][Tf 2 N]和 aqueous phase 中的金属离子含量
描述了冷却后 Zn²⁺ 在 IL 相的富集情况,以及利用草酸(H₂C₂O₄)回收锌和再生 IL 的过程。
配位竞争效应: 溶解在水中的 Zn²⁺ 会与 IL 阴离子及羧基配位,随着系统冷却分相,负载锌的络合物由于疏水性作用被拉入 IL 相。
高效循环: 加入草酸后,由于草酸锌(ZnC₂O₄)的溶度积(Ksp)极小,Zn²⁺ 被强行从 IL 络合物中“抢夺”沉淀出来。这不仅回收了高纯锌,还释放了 [Hbet]⁺,使离子液体得以重复利用(回收率 > 95%)。
图 6. 固体产物的 TG 和 DSC 曲线(a)以及固体产物(样品 1)及其煅烧产物的 XRD 图谱(b)
(a) 为原始产物(样品 1)的 TG-DSC 曲线;(b) 为样品 1 及 450 ℃ 焙烧产物(样品 2)的 XRD 图谱。
热分解动力学:TG 曲线显示两阶段失重:100-200 ℃ 为 ZnC₂O₄·2H₂O 脱结晶水;350-420 ℃ 为草酸根氧化分解。DSC 放热峰确认了 ZnO 晶格的放热构建过程。
物相纯度证实:XRD 证明样品 1 为纯相二水草酸锌。焙烧后的样品 2 完全符合六方纤锌矿 ZnO 标准谱,无 Co、Mn 杂质峰,证明了极高的化学分离纯度。
图 7. 固体产物([a]和[b])和焙烧产物([c]和[d])的 SEM 和 EDS 分析结果
展示草酸锌 (a, b) 与 ZnO (c, d) 的 SEM 图像及 EDS 能谱。
形貌遗传与纳米化:SEM 显示 ZnO 继承了前驱体的块状轮廓,但微观上转化为粒径 < 100 nm 的球形颗粒,具有高比表面积。
微区高纯度:EDS 仅检测到 Zn 与 O,未见 Co、Mn 或离子液体残留(如 F、S),验证了该工艺在微观层面的彻底分离效果。
图 8. 分离锌和钴的两种方法流程图:(a) [Hbet][Tf2N]–H2O 体系 和 (b) 硫酸浸出和氧化-沉淀
对比 (a) [Hbet][Tf₂N]-H₂O 体系与 (b) 传统“硫酸浸出-氧化沉淀”工艺。
流程集成化: 传统工艺需频繁调节 pH 并添加多种氧化剂。新工艺利用离子液体热敏特性,通过温度切换在单容器内完成“溶解-萃取”,极大地简化了工业链。
原子经济性: 核心溶剂 [Hbet][Tf₂N] 循环率约 95%,仅消耗廉价草酸即可获得高附加值纳米 ZnO,大幅减少了含盐废水排放。
图 8. 分离锌和钴的两种方法流程图:(a) [Hbet][Tf2N]–H2O 体系 和 (b) 硫酸浸出和氧化-沉淀
对比本研究与现有技术在温度、分离因子(β)、药剂消耗及废水排放上的差异。
超高选择性: 本工艺的 β{Zn/Co} 远超传统酸浸,核心在于离子液体对 U/x < 7000 kJ/mol 氧化物的精准识别。
绿色指标领先: 相比传统工艺产生的大量重金属废水,本体系实现了闭路循环,且在 90 ℃ 常压下运行,能效与环保指标均达到清洁生产要求。
研究表明,[Hbet][Tf₂N]-H₂O 系统通过加热时的选择性溶解和冷却时的同步萃取,为锌钴分离提供了高效的双分离模式。 实验证实,未焙烧的锌钴渣中锌的溶解率远高于钴和锰,且焙烧过程会因形成 MnCo₂O₄ 及锌原子的掺杂而降低分离效率。 晶格能计算(U/x 值)揭示了不同金属氧化物在离子液体中溶解度差异的根本原因。 通过草酸反萃取不仅能获得高纯度的纳米 ZnO 前驱体(草酸锌),还能实现离子液体的循环利用(回收率约 95%)。 
版权归原作者所有,由于学识水平有限难免出现偏差,建议感兴趣者DOI号搜索原文进行阅读。

最新文章

随机文章

基本 文件 流程 错误 SQL 调试
  1. 请求信息 : 2026-04-06 10:45:56 HTTP/2.0 GET : https://i.460.net.cn/a/490833.html
  2. 运行时间 : 0.090422s [ 吞吐率:11.06req/s ] 内存消耗:4,501.69kb 文件加载:140
  3. 缓存信息 : 0 reads,0 writes
  4. 会话信息 : SESSION_ID=0af7cbbace81fd725c98b7a13193ea59
  1. /yingpanguazai/ssd/ssd1/www/i.460.net.cn/public/index.php ( 0.79 KB )
  2. /yingpanguazai/ssd/ssd1/www/i.460.net.cn/vendor/autoload.php ( 0.17 KB )
  3. /yingpanguazai/ssd/ssd1/www/i.460.net.cn/vendor/composer/autoload_real.php ( 2.49 KB )
  4. /yingpanguazai/ssd/ssd1/www/i.460.net.cn/vendor/composer/platform_check.php ( 0.90 KB )
  5. /yingpanguazai/ssd/ssd1/www/i.460.net.cn/vendor/composer/ClassLoader.php ( 14.03 KB )
  6. /yingpanguazai/ssd/ssd1/www/i.460.net.cn/vendor/composer/autoload_static.php ( 4.90 KB )
  7. /yingpanguazai/ssd/ssd1/www/i.460.net.cn/vendor/topthink/think-helper/src/helper.php ( 8.34 KB )
  8. /yingpanguazai/ssd/ssd1/www/i.460.net.cn/vendor/topthink/think-validate/src/helper.php ( 2.19 KB )
  9. /yingpanguazai/ssd/ssd1/www/i.460.net.cn/vendor/topthink/think-orm/src/helper.php ( 1.47 KB )
  10. /yingpanguazai/ssd/ssd1/www/i.460.net.cn/vendor/topthink/think-orm/stubs/load_stubs.php ( 0.16 KB )
  11. /yingpanguazai/ssd/ssd1/www/i.460.net.cn/vendor/topthink/framework/src/think/Exception.php ( 1.69 KB )
  12. /yingpanguazai/ssd/ssd1/www/i.460.net.cn/vendor/topthink/think-container/src/Facade.php ( 2.71 KB )
  13. /yingpanguazai/ssd/ssd1/www/i.460.net.cn/vendor/symfony/deprecation-contracts/function.php ( 0.99 KB )
  14. /yingpanguazai/ssd/ssd1/www/i.460.net.cn/vendor/symfony/polyfill-mbstring/bootstrap.php ( 8.26 KB )
  15. /yingpanguazai/ssd/ssd1/www/i.460.net.cn/vendor/symfony/polyfill-mbstring/bootstrap80.php ( 9.78 KB )
  16. /yingpanguazai/ssd/ssd1/www/i.460.net.cn/vendor/symfony/var-dumper/Resources/functions/dump.php ( 1.49 KB )
  17. /yingpanguazai/ssd/ssd1/www/i.460.net.cn/vendor/topthink/think-dumper/src/helper.php ( 0.18 KB )
  18. /yingpanguazai/ssd/ssd1/www/i.460.net.cn/vendor/symfony/var-dumper/VarDumper.php ( 4.30 KB )
  19. /yingpanguazai/ssd/ssd1/www/i.460.net.cn/vendor/topthink/framework/src/think/App.php ( 15.30 KB )
  20. /yingpanguazai/ssd/ssd1/www/i.460.net.cn/vendor/topthink/think-container/src/Container.php ( 15.76 KB )
  21. /yingpanguazai/ssd/ssd1/www/i.460.net.cn/vendor/psr/container/src/ContainerInterface.php ( 1.02 KB )
  22. /yingpanguazai/ssd/ssd1/www/i.460.net.cn/app/provider.php ( 0.19 KB )
  23. /yingpanguazai/ssd/ssd1/www/i.460.net.cn/vendor/topthink/framework/src/think/Http.php ( 6.04 KB )
  24. /yingpanguazai/ssd/ssd1/www/i.460.net.cn/vendor/topthink/think-helper/src/helper/Str.php ( 7.29 KB )
  25. /yingpanguazai/ssd/ssd1/www/i.460.net.cn/vendor/topthink/framework/src/think/Env.php ( 4.68 KB )
  26. /yingpanguazai/ssd/ssd1/www/i.460.net.cn/app/common.php ( 0.03 KB )
  27. /yingpanguazai/ssd/ssd1/www/i.460.net.cn/vendor/topthink/framework/src/helper.php ( 18.78 KB )
  28. /yingpanguazai/ssd/ssd1/www/i.460.net.cn/vendor/topthink/framework/src/think/Config.php ( 5.54 KB )
  29. /yingpanguazai/ssd/ssd1/www/i.460.net.cn/config/app.php ( 0.95 KB )
  30. /yingpanguazai/ssd/ssd1/www/i.460.net.cn/config/cache.php ( 0.78 KB )
  31. /yingpanguazai/ssd/ssd1/www/i.460.net.cn/config/console.php ( 0.23 KB )
  32. /yingpanguazai/ssd/ssd1/www/i.460.net.cn/config/cookie.php ( 0.56 KB )
  33. /yingpanguazai/ssd/ssd1/www/i.460.net.cn/config/database.php ( 2.47 KB )
  34. /yingpanguazai/ssd/ssd1/www/i.460.net.cn/vendor/topthink/framework/src/think/facade/Env.php ( 1.67 KB )
  35. /yingpanguazai/ssd/ssd1/www/i.460.net.cn/config/filesystem.php ( 0.61 KB )
  36. /yingpanguazai/ssd/ssd1/www/i.460.net.cn/config/lang.php ( 0.91 KB )
  37. /yingpanguazai/ssd/ssd1/www/i.460.net.cn/config/log.php ( 1.35 KB )
  38. /yingpanguazai/ssd/ssd1/www/i.460.net.cn/config/middleware.php ( 0.19 KB )
  39. /yingpanguazai/ssd/ssd1/www/i.460.net.cn/config/route.php ( 1.89 KB )
  40. /yingpanguazai/ssd/ssd1/www/i.460.net.cn/config/session.php ( 0.57 KB )
  41. /yingpanguazai/ssd/ssd1/www/i.460.net.cn/config/trace.php ( 0.34 KB )
  42. /yingpanguazai/ssd/ssd1/www/i.460.net.cn/config/view.php ( 0.82 KB )
  43. /yingpanguazai/ssd/ssd1/www/i.460.net.cn/app/event.php ( 0.25 KB )
  44. /yingpanguazai/ssd/ssd1/www/i.460.net.cn/vendor/topthink/framework/src/think/Event.php ( 7.67 KB )
  45. /yingpanguazai/ssd/ssd1/www/i.460.net.cn/app/service.php ( 0.13 KB )
  46. /yingpanguazai/ssd/ssd1/www/i.460.net.cn/app/AppService.php ( 0.26 KB )
  47. /yingpanguazai/ssd/ssd1/www/i.460.net.cn/vendor/topthink/framework/src/think/Service.php ( 1.64 KB )
  48. /yingpanguazai/ssd/ssd1/www/i.460.net.cn/vendor/topthink/framework/src/think/Lang.php ( 7.35 KB )
  49. /yingpanguazai/ssd/ssd1/www/i.460.net.cn/vendor/topthink/framework/src/lang/zh-cn.php ( 13.70 KB )
  50. /yingpanguazai/ssd/ssd1/www/i.460.net.cn/vendor/topthink/framework/src/think/initializer/Error.php ( 3.31 KB )
  51. /yingpanguazai/ssd/ssd1/www/i.460.net.cn/vendor/topthink/framework/src/think/initializer/RegisterService.php ( 1.33 KB )
  52. /yingpanguazai/ssd/ssd1/www/i.460.net.cn/vendor/services.php ( 0.14 KB )
  53. /yingpanguazai/ssd/ssd1/www/i.460.net.cn/vendor/topthink/framework/src/think/service/PaginatorService.php ( 1.52 KB )
  54. /yingpanguazai/ssd/ssd1/www/i.460.net.cn/vendor/topthink/framework/src/think/service/ValidateService.php ( 0.99 KB )
  55. /yingpanguazai/ssd/ssd1/www/i.460.net.cn/vendor/topthink/framework/src/think/service/ModelService.php ( 2.04 KB )
  56. /yingpanguazai/ssd/ssd1/www/i.460.net.cn/vendor/topthink/think-trace/src/Service.php ( 0.77 KB )
  57. /yingpanguazai/ssd/ssd1/www/i.460.net.cn/vendor/topthink/framework/src/think/Middleware.php ( 6.72 KB )
  58. /yingpanguazai/ssd/ssd1/www/i.460.net.cn/vendor/topthink/framework/src/think/initializer/BootService.php ( 0.77 KB )
  59. /yingpanguazai/ssd/ssd1/www/i.460.net.cn/vendor/topthink/think-orm/src/Paginator.php ( 11.86 KB )
  60. /yingpanguazai/ssd/ssd1/www/i.460.net.cn/vendor/topthink/think-validate/src/Validate.php ( 63.20 KB )
  61. /yingpanguazai/ssd/ssd1/www/i.460.net.cn/vendor/topthink/think-orm/src/Model.php ( 23.55 KB )
  62. /yingpanguazai/ssd/ssd1/www/i.460.net.cn/vendor/topthink/think-orm/src/model/concern/Attribute.php ( 21.05 KB )
  63. /yingpanguazai/ssd/ssd1/www/i.460.net.cn/vendor/topthink/think-orm/src/model/concern/AutoWriteData.php ( 4.21 KB )
  64. /yingpanguazai/ssd/ssd1/www/i.460.net.cn/vendor/topthink/think-orm/src/model/concern/Conversion.php ( 6.44 KB )
  65. /yingpanguazai/ssd/ssd1/www/i.460.net.cn/vendor/topthink/think-orm/src/model/concern/DbConnect.php ( 5.16 KB )
  66. /yingpanguazai/ssd/ssd1/www/i.460.net.cn/vendor/topthink/think-orm/src/model/concern/ModelEvent.php ( 2.33 KB )
  67. /yingpanguazai/ssd/ssd1/www/i.460.net.cn/vendor/topthink/think-orm/src/model/concern/RelationShip.php ( 28.29 KB )
  68. /yingpanguazai/ssd/ssd1/www/i.460.net.cn/vendor/topthink/think-helper/src/contract/Arrayable.php ( 0.09 KB )
  69. /yingpanguazai/ssd/ssd1/www/i.460.net.cn/vendor/topthink/think-helper/src/contract/Jsonable.php ( 0.13 KB )
  70. /yingpanguazai/ssd/ssd1/www/i.460.net.cn/vendor/topthink/think-orm/src/model/contract/Modelable.php ( 0.09 KB )
  71. /yingpanguazai/ssd/ssd1/www/i.460.net.cn/vendor/topthink/framework/src/think/Db.php ( 2.88 KB )
  72. /yingpanguazai/ssd/ssd1/www/i.460.net.cn/vendor/topthink/think-orm/src/DbManager.php ( 8.52 KB )
  73. /yingpanguazai/ssd/ssd1/www/i.460.net.cn/vendor/topthink/framework/src/think/Log.php ( 6.28 KB )
  74. /yingpanguazai/ssd/ssd1/www/i.460.net.cn/vendor/topthink/framework/src/think/Manager.php ( 3.92 KB )
  75. /yingpanguazai/ssd/ssd1/www/i.460.net.cn/vendor/psr/log/src/LoggerTrait.php ( 2.69 KB )
  76. /yingpanguazai/ssd/ssd1/www/i.460.net.cn/vendor/psr/log/src/LoggerInterface.php ( 2.71 KB )
  77. /yingpanguazai/ssd/ssd1/www/i.460.net.cn/vendor/topthink/framework/src/think/Cache.php ( 4.92 KB )
  78. /yingpanguazai/ssd/ssd1/www/i.460.net.cn/vendor/psr/simple-cache/src/CacheInterface.php ( 4.71 KB )
  79. /yingpanguazai/ssd/ssd1/www/i.460.net.cn/vendor/topthink/think-helper/src/helper/Arr.php ( 16.63 KB )
  80. /yingpanguazai/ssd/ssd1/www/i.460.net.cn/vendor/topthink/framework/src/think/cache/driver/File.php ( 7.84 KB )
  81. /yingpanguazai/ssd/ssd1/www/i.460.net.cn/vendor/topthink/framework/src/think/cache/Driver.php ( 9.03 KB )
  82. /yingpanguazai/ssd/ssd1/www/i.460.net.cn/vendor/topthink/framework/src/think/contract/CacheHandlerInterface.php ( 1.99 KB )
  83. /yingpanguazai/ssd/ssd1/www/i.460.net.cn/app/Request.php ( 0.09 KB )
  84. /yingpanguazai/ssd/ssd1/www/i.460.net.cn/vendor/topthink/framework/src/think/Request.php ( 55.78 KB )
  85. /yingpanguazai/ssd/ssd1/www/i.460.net.cn/app/middleware.php ( 0.25 KB )
  86. /yingpanguazai/ssd/ssd1/www/i.460.net.cn/vendor/topthink/framework/src/think/Pipeline.php ( 2.61 KB )
  87. /yingpanguazai/ssd/ssd1/www/i.460.net.cn/vendor/topthink/think-trace/src/TraceDebug.php ( 3.40 KB )
  88. /yingpanguazai/ssd/ssd1/www/i.460.net.cn/vendor/topthink/framework/src/think/middleware/SessionInit.php ( 1.94 KB )
  89. /yingpanguazai/ssd/ssd1/www/i.460.net.cn/vendor/topthink/framework/src/think/Session.php ( 1.80 KB )
  90. /yingpanguazai/ssd/ssd1/www/i.460.net.cn/vendor/topthink/framework/src/think/session/driver/File.php ( 6.27 KB )
  91. /yingpanguazai/ssd/ssd1/www/i.460.net.cn/vendor/topthink/framework/src/think/contract/SessionHandlerInterface.php ( 0.87 KB )
  92. /yingpanguazai/ssd/ssd1/www/i.460.net.cn/vendor/topthink/framework/src/think/session/Store.php ( 7.12 KB )
  93. /yingpanguazai/ssd/ssd1/www/i.460.net.cn/vendor/topthink/framework/src/think/Route.php ( 23.73 KB )
  94. /yingpanguazai/ssd/ssd1/www/i.460.net.cn/vendor/topthink/framework/src/think/route/RuleName.php ( 5.75 KB )
  95. /yingpanguazai/ssd/ssd1/www/i.460.net.cn/vendor/topthink/framework/src/think/route/Domain.php ( 2.53 KB )
  96. /yingpanguazai/ssd/ssd1/www/i.460.net.cn/vendor/topthink/framework/src/think/route/RuleGroup.php ( 22.43 KB )
  97. /yingpanguazai/ssd/ssd1/www/i.460.net.cn/vendor/topthink/framework/src/think/route/Rule.php ( 26.95 KB )
  98. /yingpanguazai/ssd/ssd1/www/i.460.net.cn/vendor/topthink/framework/src/think/route/RuleItem.php ( 9.78 KB )
  99. /yingpanguazai/ssd/ssd1/www/i.460.net.cn/route/app.php ( 1.72 KB )
  100. /yingpanguazai/ssd/ssd1/www/i.460.net.cn/vendor/topthink/framework/src/think/facade/Route.php ( 4.70 KB )
  101. /yingpanguazai/ssd/ssd1/www/i.460.net.cn/vendor/topthink/framework/src/think/route/dispatch/Controller.php ( 4.74 KB )
  102. /yingpanguazai/ssd/ssd1/www/i.460.net.cn/vendor/topthink/framework/src/think/route/Dispatch.php ( 10.44 KB )
  103. /yingpanguazai/ssd/ssd1/www/i.460.net.cn/app/controller/Index.php ( 4.81 KB )
  104. /yingpanguazai/ssd/ssd1/www/i.460.net.cn/app/BaseController.php ( 2.05 KB )
  105. /yingpanguazai/ssd/ssd1/www/i.460.net.cn/vendor/topthink/think-orm/src/facade/Db.php ( 0.93 KB )
  106. /yingpanguazai/ssd/ssd1/www/i.460.net.cn/vendor/topthink/think-orm/src/db/connector/Mysql.php ( 5.44 KB )
  107. /yingpanguazai/ssd/ssd1/www/i.460.net.cn/vendor/topthink/think-orm/src/db/PDOConnection.php ( 52.47 KB )
  108. /yingpanguazai/ssd/ssd1/www/i.460.net.cn/vendor/topthink/think-orm/src/db/Connection.php ( 8.39 KB )
  109. /yingpanguazai/ssd/ssd1/www/i.460.net.cn/vendor/topthink/think-orm/src/db/ConnectionInterface.php ( 4.57 KB )
  110. /yingpanguazai/ssd/ssd1/www/i.460.net.cn/vendor/topthink/think-orm/src/db/builder/Mysql.php ( 16.58 KB )
  111. /yingpanguazai/ssd/ssd1/www/i.460.net.cn/vendor/topthink/think-orm/src/db/Builder.php ( 24.06 KB )
  112. /yingpanguazai/ssd/ssd1/www/i.460.net.cn/vendor/topthink/think-orm/src/db/BaseBuilder.php ( 27.50 KB )
  113. /yingpanguazai/ssd/ssd1/www/i.460.net.cn/vendor/topthink/think-orm/src/db/Query.php ( 15.71 KB )
  114. /yingpanguazai/ssd/ssd1/www/i.460.net.cn/vendor/topthink/think-orm/src/db/BaseQuery.php ( 45.13 KB )
  115. /yingpanguazai/ssd/ssd1/www/i.460.net.cn/vendor/topthink/think-orm/src/db/concern/TimeFieldQuery.php ( 7.43 KB )
  116. /yingpanguazai/ssd/ssd1/www/i.460.net.cn/vendor/topthink/think-orm/src/db/concern/AggregateQuery.php ( 3.26 KB )
  117. /yingpanguazai/ssd/ssd1/www/i.460.net.cn/vendor/topthink/think-orm/src/db/concern/ModelRelationQuery.php ( 20.07 KB )
  118. /yingpanguazai/ssd/ssd1/www/i.460.net.cn/vendor/topthink/think-orm/src/db/concern/ParamsBind.php ( 3.66 KB )
  119. /yingpanguazai/ssd/ssd1/www/i.460.net.cn/vendor/topthink/think-orm/src/db/concern/ResultOperation.php ( 7.01 KB )
  120. /yingpanguazai/ssd/ssd1/www/i.460.net.cn/vendor/topthink/think-orm/src/db/concern/WhereQuery.php ( 19.37 KB )
  121. /yingpanguazai/ssd/ssd1/www/i.460.net.cn/vendor/topthink/think-orm/src/db/concern/JoinAndViewQuery.php ( 7.11 KB )
  122. /yingpanguazai/ssd/ssd1/www/i.460.net.cn/vendor/topthink/think-orm/src/db/concern/TableFieldInfo.php ( 2.63 KB )
  123. /yingpanguazai/ssd/ssd1/www/i.460.net.cn/vendor/topthink/think-orm/src/db/concern/Transaction.php ( 2.77 KB )
  124. /yingpanguazai/ssd/ssd1/www/i.460.net.cn/vendor/topthink/framework/src/think/log/driver/File.php ( 5.96 KB )
  125. /yingpanguazai/ssd/ssd1/www/i.460.net.cn/vendor/topthink/framework/src/think/contract/LogHandlerInterface.php ( 0.86 KB )
  126. /yingpanguazai/ssd/ssd1/www/i.460.net.cn/vendor/topthink/framework/src/think/log/Channel.php ( 3.89 KB )
  127. /yingpanguazai/ssd/ssd1/www/i.460.net.cn/vendor/topthink/framework/src/think/event/LogRecord.php ( 1.02 KB )
  128. /yingpanguazai/ssd/ssd1/www/i.460.net.cn/vendor/topthink/think-helper/src/Collection.php ( 16.47 KB )
  129. /yingpanguazai/ssd/ssd1/www/i.460.net.cn/vendor/topthink/framework/src/think/facade/View.php ( 1.70 KB )
  130. /yingpanguazai/ssd/ssd1/www/i.460.net.cn/vendor/topthink/framework/src/think/View.php ( 4.39 KB )
  131. /yingpanguazai/ssd/ssd1/www/i.460.net.cn/vendor/topthink/framework/src/think/Response.php ( 8.81 KB )
  132. /yingpanguazai/ssd/ssd1/www/i.460.net.cn/vendor/topthink/framework/src/think/response/View.php ( 3.29 KB )
  133. /yingpanguazai/ssd/ssd1/www/i.460.net.cn/vendor/topthink/framework/src/think/Cookie.php ( 6.06 KB )
  134. /yingpanguazai/ssd/ssd1/www/i.460.net.cn/vendor/topthink/think-view/src/Think.php ( 8.38 KB )
  135. /yingpanguazai/ssd/ssd1/www/i.460.net.cn/vendor/topthink/framework/src/think/contract/TemplateHandlerInterface.php ( 1.60 KB )
  136. /yingpanguazai/ssd/ssd1/www/i.460.net.cn/vendor/topthink/think-template/src/Template.php ( 46.61 KB )
  137. /yingpanguazai/ssd/ssd1/www/i.460.net.cn/vendor/topthink/think-template/src/template/driver/File.php ( 2.41 KB )
  138. /yingpanguazai/ssd/ssd1/www/i.460.net.cn/vendor/topthink/think-template/src/template/contract/DriverInterface.php ( 0.86 KB )
  139. /yingpanguazai/ssd/ssd1/www/i.460.net.cn/runtime/temp/ea612fc1da910b74827694dd9af81119.php ( 11.98 KB )
  140. /yingpanguazai/ssd/ssd1/www/i.460.net.cn/vendor/topthink/think-trace/src/Html.php ( 4.42 KB )
  1. CONNECT:[ UseTime:0.000558s ] mysql:host=127.0.0.1;port=3306;dbname=i460;charset=utf8mb4
  2. SHOW FULL COLUMNS FROM `fenlei` [ RunTime:0.000848s ]
  3. SELECT * FROM `fenlei` WHERE `fid` = 0 [ RunTime:0.000364s ]
  4. SELECT * FROM `fenlei` WHERE `fid` = 63 [ RunTime:0.000293s ]
  5. SHOW FULL COLUMNS FROM `set` [ RunTime:0.000644s ]
  6. SELECT * FROM `set` [ RunTime:0.000233s ]
  7. SHOW FULL COLUMNS FROM `article` [ RunTime:0.000672s ]
  8. SELECT * FROM `article` WHERE `id` = 490833 LIMIT 1 [ RunTime:0.000519s ]
  9. UPDATE `article` SET `lasttime` = 1775443556 WHERE `id` = 490833 [ RunTime:0.003893s ]
  10. SELECT * FROM `fenlei` WHERE `id` = 64 LIMIT 1 [ RunTime:0.000249s ]
  11. SELECT * FROM `article` WHERE `id` < 490833 ORDER BY `id` DESC LIMIT 1 [ RunTime:0.000437s ]
  12. SELECT * FROM `article` WHERE `id` > 490833 ORDER BY `id` ASC LIMIT 1 [ RunTime:0.000410s ]
  13. SELECT * FROM `article` WHERE `id` < 490833 ORDER BY `id` DESC LIMIT 10 [ RunTime:0.003482s ]
  14. SELECT * FROM `article` WHERE `id` < 490833 ORDER BY `id` DESC LIMIT 10,10 [ RunTime:0.004440s ]
  15. SELECT * FROM `article` WHERE `id` < 490833 ORDER BY `id` DESC LIMIT 20,10 [ RunTime:0.004662s ]
0.092130s