由于钠资源储量丰富、成本低,钠离子电池在大规模储能领域展现出显著潜力。然而,其发展一定程度上受限于负极材料的电化学性能不理想。在锂离子电池中广泛使用的石墨负极,因层间距较小(0.335 nm)及其热力学特性不利于钠离子存储,难以直接应用于钠离子电池。这一局限促使研究人员积极探索适用于钠离子电池的新型负极材料。硬碳因其独特的结构而备受关注。它由随机取向的石墨微晶、可调控的纳米孔以及具有较大层间距的乱层结构构成。硬碳表现出良好的储钠性能:具有较低的工作电位、较高的可逆容量以及良好的循环稳定性。此外,硬碳还具有前驱体来源广泛、生产成本较低等优势,进一步增强了其在钠离子电池实际应用中的吸引力。
【内容简介】
本文报道了一种多尺度结构调节策略来合成高性能硬碳(HC-30P)负极材料,该材料在常温和低温条件下均表现出优异的储钠性能。该研究工作近期以《Multi-Scale Architecture Regulation of Hard Carbons for High-Efficiency Sodium Storage across Ambient and Subzero Conditions》为题发表在国际著名学术期刊Angewandte Chemie International Edition上,并入选Hot Paper。哈工大/哈工大郑州研究院宋波教授、陈中辉副研究员是论文的通讯作者。
本工作通过将四氢呋喃溶剂分散的沥青作为填充改性剂,引入多孔聚磷腈(PZS)-聚合物前驱体中,实现了对HC-30P微观结构的设计和精确调控。在碳化过程中,沥青分子诱导硬碳形成单分散微米颗粒,并同时形成纳米尺度短程有序的石墨微区。所制备的HC-30P具有多重优势:(1)尺寸相对均一的微米颗粒、低比表面积与可调控的缺陷等显著降低了副反应;(2)丰富的纳米级短程有序石墨微晶增加了闭孔密度与体相电导率;(3)独特的体相-表面结构提高了离子电导率,并诱导形成富无机的薄SEI,从而降低扩散势垒并加速反应动力学。因此,HC-30P展现出卓越的电化学性能:具有413.7 mAh g-1的高可逆容量、首次库仑效率(87.1%)、优异的倍率性能、以及超过4000次的长循环稳定性。即便在-20℃低温下,该材料仍保持突出的循环稳定性,在0.3 A g-1电流密度下循环3000次后容量保持率高达98.8%。通过组装全电池和软包电池进一步验证了HC-30P的应用潜力,并结合多种实验表征手段与理论计算阐明了其储钠机制。

Figure 1. Synthesis mechanism and structural analysis. (a) Synthesis scheme of HC-XP. SEM images of (b) HC, (c) HC-10P, (d) HC-30P, and (e) HC-50P. HRTEM images of (f) HC, (g) HC-10P, (h) HC-30P, and (i) HC-50P. (j) DTG curves, in situ TGA-FTIR spectra of (k) HC, and (l) HC-30P.

Figure 2. Structural and compositional characterization. (a) XRD patterns, (b) calculated d002, La, and Lc values, (c) N2 adsorption-desorption isotherms, (d) pore size distributions based on CO2 adsorption/desorption isotherms,(e) small-angle X-ray scattering patterns, (f) Raman spectra, and (g) C 1s XPS spectra.

Figure 3. Electrochemical performance of hard carbon anodes. (a) Initial galvanostatic charge/discharge curves at 0.05 A g-1, (b) capacity comparison for slope and plateau regions, (c) cycling performance at 0.05 A g-1, (d) rate performance of different hard carbon anodes, (e) rate performance comparison of HC-30P with other reported hard carbon anodes, and (f) long-term cycling stability at 5 A g-1.

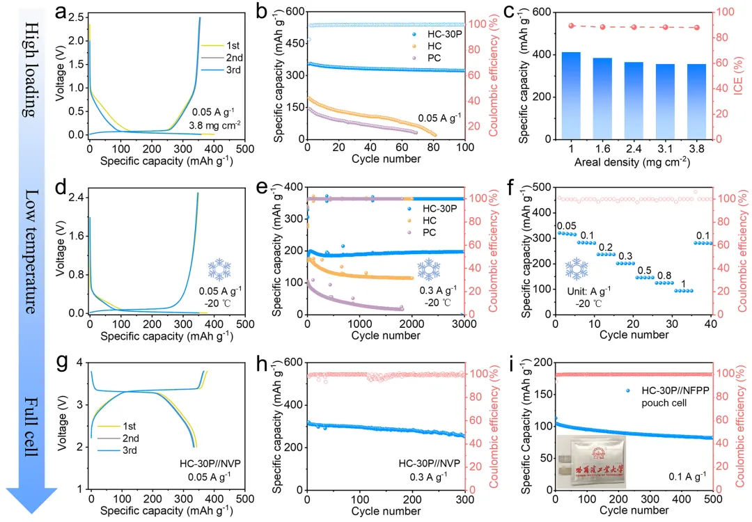
Figure 4. The practical viability investigation of HC-30P. (a) GCD curves, (b) cycling performance of HC, PC, and HC-30P at a high mass loading of ~3.8 mg cm-2, and (c) the specific capacities and ICE at different mass loadings. (d) GCD curves, (e) cycling performance of HC, PC, and HC-30P at 0.3 A g-1, and (f) rate performance of HC-30P at -20 ℃. (g) GCD curves, and (h) cycling performance of HC-30P//NVP full cells. (i) Cycling performance of HC-30P//NFPP pouch cells.

Figure 5. SEI evolution and interfacial properties. (a) In situ EIS analysis of HC-30P. (b) TEM image, (c) F 1s, and (d) C 1s XPS spectra of HC. (e) TEM image, (f) F 1s, and (g) C 1s XPS spectra of HC-30P after 500 cycles at 0.3 A g-1. TOF-SIMS patterns for (h) positive, (i) negative secondary ion modes, and (j) corresponding mappings for HC and HC-30P after 500 cycles.

Figure 6. Analysis of sodium storage mechanism. (a) Optimized structures and dissociation energies of the P-F bond on the surface of HC and HC-30P, (b) Na+ adsorption energies of HC-30P on various nanopore models, and (c) diffusion barrier energies of HC and HC-30P. (d-f) In situ Raman spectra, and (g, h) in situ XRD patterns of HC-30P at 0.1 A g-1. (i) Calculated Na+ diffusion coefficients during the discharge process, and (j) mechanistic illustration for HC-30P.
【结论】
综上所述,本研究开发了一种多尺度结构调控策略,实现了对硬碳材料在微米与纳米尺度上的结构调控。通过在PZS前驱体中引入沥青作为填充改性剂,实现了硬碳颗粒的微米级自组装,并构建了纳米级短程有序石墨化结构。所得HC-30P材料具备了增强的体相导电性、丰富的闭孔结构、缺陷可调的微颗粒以及富含无机物的薄层固态电解质界面等特性,有效抑制了副反应、降低了扩散势垒并加速了反应动力学。该材料在常温和低温环境下均展现出优异的储钠性能。多种原位/非原位表征技术与理论计算共同阐明了其加速的反应动力学与储钠机制。本研究不仅提供了一种独特的多尺度结构调控策略,也为高性能钠离子电池硬碳负极材料的理性设计提供了重要启示。
【文章信息】
Multi-Scale Architecture Regulation of Hard Carbons for High-Efficiency Sodium Storage Across Ambient and Subzero Conditions, Angew. Chem. Int. Ed. 2026, e25761. doi.org/10.1002/anie.202525761
阿德莱德大学乔世璋/郝俊南Sci Adv:高性能水系静态锌溴电池
2026-04-13

中科院物理所索鎏敏AEnM:390 Wh/kg & 880 Wh/L实用化锂硫软包电池
2026-04-13

昆明理工大学熊仕昭Materials Today:钠离子电池负极材料的“结构-动力学-容量”三难困境
2026-04-13

东北师范大学Advanced Materials:打破莫特局域化实现Na4MnFe(PO4)3基正极“从0到1”的储钠容量突破
2026-04-13

宁波大学章理远双室温液态金属衍生非牛顿流体钾离子电池负极:粘弹性行为调控
2026-04-13

2026-04-13

南航朱孔军/王婧/申来法AEM:低温稳定高倍率聚吡咯/氧化钒碳纤维结构超级电容器及其优异力-电协同性能
2026-04-13

清华大学徐建鸿&河北工业大学吴兴江《National Science Review》:微流控高通量优化助力高相纯度高熵氟磷酸盐正极材料的规模化生产
2026-04-12

UC Riverside 林若倩:双策略阻燃固态电解质实现高安全钠金属电池
2026-04-12

石河子大学于锋教授Next Nanotechnology:MOF衍生Zn-N-C作为锂/钠离子电池负极材料
2026-04-12

