

@
关注下方公众号
获取更多前沿期刊速递和精彩学术报告回放
文章信息
论文题目:Achieving superior specific yield strength-ductility synergy in a Fe-based medium-entropy alloy via multiscale heterostructure at both 298 K and 77 K
论文作者:Ran Wei, Chongxun Fang(房崇勋), Xinghua Zhang, Qiuyu Gao, Zhenhua Han, Yongfu Cai*, Daixiu Wei, Hongyan Wang, Min Tian, JiaJia Tian**
Journal:Materials Science and Engineering: A
DOI: https://doi.org/10.1016/j.msea.2026.149753
研究背景
工业生产中对成本低廉、易于制备,且能在室温与低温环境下同时具备超高强度和优异延展性的结构材料需求迫切。但传统合金存在诸多局限:FCC合金低温延展性优异但屈服强度不足,BCC合金及部分碳化物弥散强化FCC合金易发生低温韧脆转变,热机械处理难以兼顾室温和低温性能,且现有中/高熵合金多含昂贵元素、成本较高。针对以上挑战,本研究设计了一种在298 K和77 K下均表现出优异拉伸性能的铁基中熵合金Fe₆₂Ni₁₅Cr₁₃Al₇Si₃,为开发比现有中/高熵合金更优的比屈服强度-延展性协同性能铁基合金,开辟了新途径。
成果速览
本研究创新设计出一种铁基中熵合金Fe62Ni15Cr13Al7Si3,经铸造、轧制及800℃退火5分钟的常规工艺制备,形成含高密度B2纳米析出相的FCC + BCC双相多尺度异质结构,298 K时,其拉伸屈服强度约1.2 GPa,比屈服强度达160 MPa・cm3/g;77 K时,拉伸屈服强度提升至1.6 GPa,比屈服强度高达220 MPa・cm3/g,两种温度下均匀延展性均超11%。凭借室温下的异质变形诱导、超细晶粒及沉淀强化,低温下额外的吕德斯带、堆垛层错等机制,实现了优异的强度-延展性协同,性能优于多数现有中/高熵合金。
数据概况

图1. 拉伸前MEA样品的显微组织。(a)铸态、冷轧态、800°C退火5分钟和30分钟样品的XRD图谱。(b1、b2)铸态、800℃退火5分钟(c1、c2)和30分钟(d1、d2)样品的EBSD相图和IPF图。

图2. 铸态样品的透射电镜图像。(a)低倍率形貌图,插图显示SAED图案;(b,b1-b5)高倍率形貌图及体心立方和面心立方区域的元素分布;(c)体心立方区域的高分辨率透射电镜图像,(c1)(c)中黄色矩形区域的放大视图,(c2)(c1)的逆快速傅里叶变换图像。

图3. 5分钟退火样品的微观结构特征。不同区域的TEM图像(a,b1)。(a)中的插图为FCC和BCC相的SAED图案。(b2)SAED图案为B2纳米沉淀物以及与b1区域匹配的EDS元素分布图。

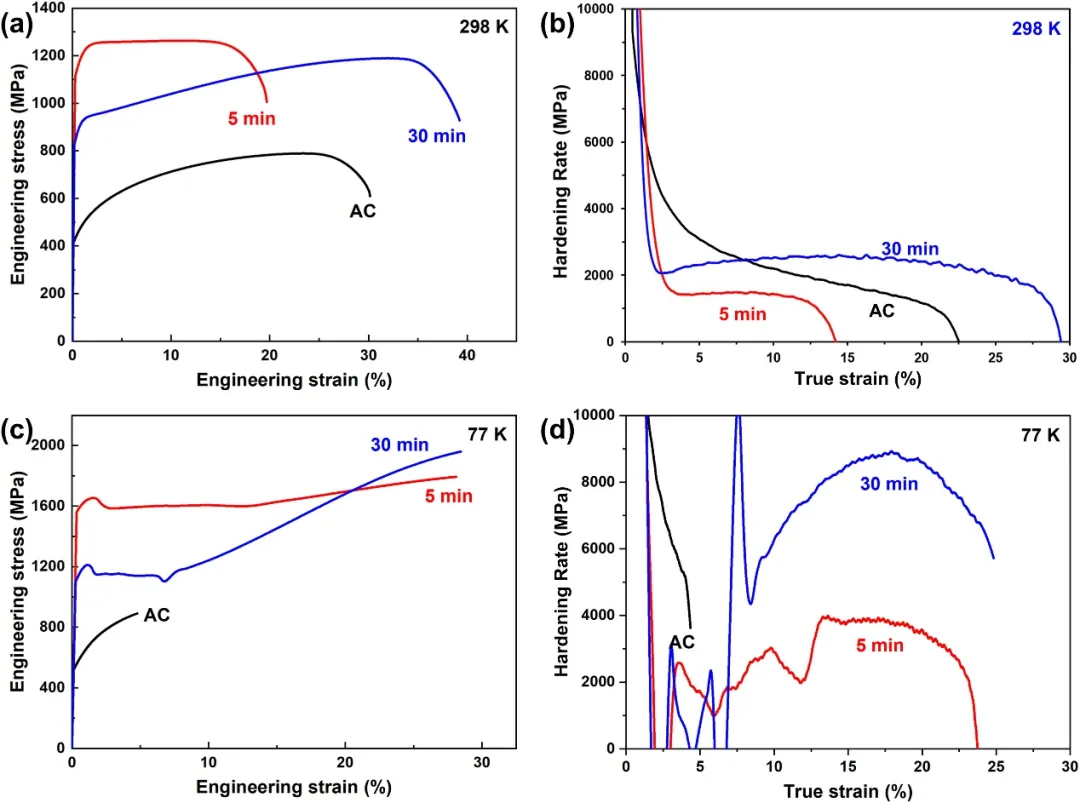
图4. (a,c)298 K与77 K下MEA的应力-应变曲线及(b,d)应变硬化率曲线。AC为铸态。

图5. 298 K与77 K条件下先进M/HEA材料及超细晶粒不锈钢退火5分钟样品的比屈服强度对比图。

图6. 298 K断裂后的TEM图像:(a,b1)形貌图像;(b2)BCC区域衍射斑点;以及(b1)区域的EDS图谱。

图7. 77 K下应变20%的5分钟退火样品的TEM图像。(a)和(b)显示纳米层状马氏体、高密度位错及带状结构;(c)展示了位错壁、堆垛层错(SF)及变形纳米孪晶(DT);(d)为堆垛层错的高分辨率TEM图像,插图为相应衍射图谱。
结论展望
该研究通过成分与多尺度异质结构协同设计研发出Fe62Ni15Cr13Al7Si3铁基中熵合金,该中熵合金为FCC + BCC双相结构,含高密度B2纳米析出相,晶粒细化至0.38µm。该合金在298 K和77 K下均表现出卓越力学性能,298 K时屈服强度1.2 GPa、比屈服强度160 MPa・cm3/g,其中异质变形诱导应力、晶界强化(约652 MPa)与B2析出强化(约270 MPa)协同作用,通过位错阻碍与应变协调实现强度–延展性平衡;77 K时屈服强度与比屈服强度分别提升至1.6 GPa和220 MPa・cm3/g,均匀延展性均超11%,此时低堆垛层错能促进FCC向BCC相变,叠加吕德斯带、堆垛层错、纳米孪晶及变形诱导马氏体相变,细化晶粒并增强应变硬化,同时位错堆积与析出相钉扎进一步提升性能。为开发室温至低温区间高性能、低成本中熵合金提供了理论与技术支撑。

特此说明
▶ 本文仅用于学术分享,如有侵权,请联系我们(resclouder6)及时删除。
▶ 欢迎广大读者对本文进行转发宣传。


科研云

线上直播/精品课程




资讯追踪/期刊速递/科研工具




