

关注我们,点亮星标,精彩内容尽在掌握!



在精密仪器、高端光学设备等领域,材料的热膨胀系数是影响设备稳定性和精度的关键参数。传统材料多表现为正热膨胀,而负热膨胀材料的出现,为材料热膨胀行为的调控提供了新方案。该工作将高熵固溶体策略引入到A2Mo3O12框架中,研发了材料HEMO。通过同步辐射X射线衍射、透射电子显微镜等多种先进技术表征,研究人员发现HEMO为正交晶系,空间群为Pbcn,其三维框架由角共享连接的Al/Sc/In/Yb/Y/ErO6八面体和MoO4四面体构成。
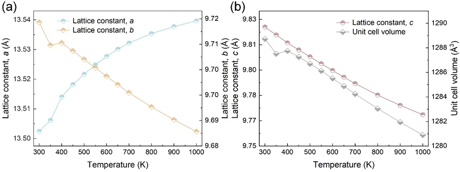
在 300K 至 1000K 的温度范围内,HEMO展现出各向异性热膨胀行为:a 轴方向为正热膨胀(αa = 3.88 × 10-6 K-1),b轴和c轴方向为负热膨胀(αb = –4.89 × 10-6 K-1、αc = –7.62 × 10-6 K-1),体积呈现负热膨胀(αV = –8.63 × 10-6 K-1)(图1)。进一步的结构分析表明,HEMO的负热膨胀源于多面体的耦合旋转,而氧原子的横向振动是其负热膨胀行为的内在驱动力。300-400 K 区间晶格参数的突变,则是由晶格中吸附水脱附引发的结构弛豫效应导致,并非传统意义上的结构相变。

图1. (a) 晶格常数a和b;(b)晶格常数c以及晶胞体积V在300-1000K温度范围内的温度依赖性。
多数荧光材料在高温环境下会出现热猝灭现象,即发光强度随温度升高而显著下降,这极大限制了其在高功率光学器件中的应用。而 HEMO则展现出独特的负热猝灭特性,实现了发光性能的 “热增强”。在 980 nm 激光激发下,HEMO中Er3+离子产生三个特征上转换发光带(图2a)。在300 K至650 K的温度区间内,其绿光发射强度最高可提升53.4倍,红光发射强度也能提升39.0倍 (图2b)。这种优异的热增强发光效果,主要源于两大机制:一是低温下晶格中的水分子会抑制Er3+的能级跃迁,而温度升高后水分子脱附,解除了对发光的抑制;二是 HEMO 在bc平面的负热膨胀缩短了Yb3+与Er3+的离子间距,大幅提升了能量传递效率,从而显著增强上转换发光强度。伴随发光强度的变化,HEMO的CIE色度坐标也从 (0.262, 0.715) 偏移至 (0.214, 0.749) (图2c)。

图 2. (a) 300–650 K温度范围内,高熵氧化物HEMO在980nm激光激发下的上转换发光(UCL)发射光谱;(b) Er3+从2H11/2、4S3/2和4F9/2能级跃迁至4I15/2基态所对应的上转换发光积分强度;(c) 980nm 激光激发下HEMO的国际照明委员会(CIE)色度图;(d) 300–650K 温度区间内的绝对灵敏度(Sa)和相对灵敏度(Sr)曲线。
基于Er3+热耦合能级的荧光强度比(FIR),科研团队还评估了HEMO的温度传感性能。在300K-650 K范围内,其荧光强度比FIR527/553从1.00上升至2.79,且与温度的关系符合玻尔兹曼统计规律,拟合优度R2达到了0.999。经计算,HEMO 的绝对温度灵敏度Sa最大值达1.06% K-1(560 K),相对温度灵敏度Sr最大值为0.84% K–1(300 K) (图2d),展现出优异的温度传感能力,有望成为非接触式温度传感领域的理想候选材料。
该研究不仅成功开发出一种兼具负热膨胀和热增强上转换发光的新型高熵材料,还为负热膨胀高熵材料在功能荧光粉领域的应用开辟了新路径,对精密温控器件、高温光学传感等领域的技术升级具有重要推动作用。据悉,这项研究得到了国家自然科学基金、河南省自然科学基金、重庆市自然科学基金等多个项目的资助,同步辐射 X 射线衍射实验则依托日本SPring-8同步辐射装置完成。
团队介绍
高其龙,郑州大学学科特聘教授,博士生导师,河南省杰青。目前主持国家自然科学基金青年项目以及两项面上项目,主持河南省自然科学基金优青、杰青项目和一项联合基金。近5年发表SCI论文60篇,其中以第一作者或通讯作者身份发表43篇SCI论文在Phys. Rev. Lett. 、J.Am.Chem.Soc.、Angew.Chem.Int.Ed.、Nat.Commun、Inorg.Chem.、Appl.Phys.Lett. 、Phys. Rev. B等学术期刊。申请国家发明专利12项、授权7项。担任中国晶体学会局域结构专业委员会委员、担任期刊《Tungsten》、《Microstructure》和《Progress in Natural Science: Material International》青年编委,担任期刊《Rare Metal》Guest Editor,获得《Microstructure》2023年最佳青年编委。多次受邀在相关国际/国内大会上做邀请报告。
目前主要进行负热膨胀材料结构设计与机制研究。在同步辐射、中子散射等大装置开展研究(美国APS、NIST,英国ISIS,日本Spring-8,意大利Elettra等):设计“平均原子晶格体积”新概念为探索新NTE体系提供新方法,被JACS Spotlight重点推介;设计客体嵌入热膨胀的调控新方法,被期刊Angew编辑推荐为Hot paper,被意大利ELETTRA光源官网报道,并收录于年度ELETTRA Highlights和ESRF Highlights。通过对ZrV2O7结构设计实现其NTE温区延伸到室温以下,被APL选为Feature Article,并被美国物理学联合会AIP Scilight专访报道;提出超轻负热膨胀(Ultralight NTE)概念,发现NaB(CN)4巨负膨胀材料。
文章信息
High-entropy negative thermal expansion oxide with thermally enhanced upconversion luminescence
Xin Chen; Wenshen Fan; Xiangkai Hao; Yongjie Wang; Li Li; Yuanbing Mao; Shogo Kawaguchi; Qilong Gao
Appl. Phys. Lett. 127, 232201 (2025)
https://doi.org/10.1063/5.0306792

扫描二维码 查看原文
期刊介绍
Applied Physics Letters以简明扼要的最新报告为特色,介绍了应用物理学的重大新发现。APL强调关键数据和新的物理学见解的快速传播,及时发表新实验和理论论文,报告物理现象在科学,工程和现代技术的所有分支中的应用。

关于AIP出版社
美国物理联合会出版社(AIP 出版社)是美国物理联合会(AIP)旗下的非营利独资出版社。AIP 出版社的使命是在物理和相关科学领域开展学术出版活动,以支持AIP的慈善、科学和教育目标。我们也代表出版合作伙伴进行出版活动,以帮助其积极推进自身的使命。
访问主页:https://publishing.aip.org/
相关文章推荐
APL | 江苏科技大学理学院戴俊教授团队:一维光子晶体超材料界面拓扑态-Tamm态耦合模式角无关特性研究