
近日,山西大学汪丽蓉教授团队和郑州大学陈刚教授团队在Light Manipulation & Applications上发表研究性论文“Non-Hermitian twisted photonic lattices”。该工作构建了一种非厄米二维扭转光子晶格,并系统阐述了其理论模型、实验实现方案及相应的观测方法。在该晶格中,非厄米增益损耗调制与局域平带的出现相结合,实现了光在动量空间中的定向局域。研究表明,通过调节系统参数(如失谐,功率和扭转角),可灵活操控定向局域的局域度和方向。该工作揭示了非厄米能带重构和几何扭转之间非平凡的相互作用,为扭转结构中的光操控提供了一个通用研究平台。山西大学元晋鹏教授为论文第一作者,山西大学汪丽蓉教授和郑州大学陈刚教授为论文的共同通讯作者。
莫尔超晶格及扭转体系是通过在两个周期结构之间引入特殊的相对扭转形成的人工结构,具有“人工设计”准周期势与平带结构,从而推动扭转电子学的迅速发展,并引发对超导、关联绝缘态等量子现象的广泛关注。作为扭转材料的光学类比,扭转光子晶格为调控光-物质相互作用及莫尔光子效应提供高度可调的平台,涵盖局域-离域转变、可重构激光、光束整形、平带与拓扑传输等丰富的物理过程。另一方面,非厄米物理描述包含增益与损耗的开放系统,能够产生PT对称破缺、奇异点与非互易传播等独特的光学效应。基于原子介质的相干性与可控性,可通过多能级结构精确调控折射率,并构建具有空间结构化增益/损耗的可调非厄米光子晶格。在相干原子系综引入非厄米效应并与扭转结构相结合,有望开辟超越传统体系的光场调控新途径,在厄米框架之外引入新的能带拓扑与局域行为,从而深化对光学能带与传输机制的理解。
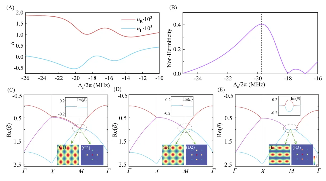
研究团队以四能级N型原子系统为基础,通过将拉曼增益与非相干驻波光场的扭转叠加相结合,成功构建了光学诱导的非厄米二维扭转光子晶格,实现了对增益-损耗的动态调控,并在动量空间观测到光的定向局域。理论方面,团队系统模拟了不同参数条件下晶格的非厄米度及其能带演化。结果表明,非厄米度增强会导致能带在高对称M点附近简并,并产生局域平带,进而使光场在动量空间中表现出明显的定向局域特征。实验方面,研究人员利用液晶空间光调制器将两束非相干光分别调制成一维驻波,并以夹角θ在空间旋转后叠加,构建出二维莫尔型空间结构。高斯型探测光以斜入射方式激发特定能带结构,在电磁诱导透明效应的参数区间内对非厄米增益-损耗效应进行调控,最终,输出光场的动量空间图样展示出定向局域现象。

图1 (A) 非厄米扭转光子晶格原理示意图;(B) 85Rb原子四能级N型结构图;(C) 晶格折射率实部与虚部空间分布。

图2 非厄米诱导的能带结构演化。(A) 增益格点折射率实部和虚部随失谐的变化;(B) 系统非厄米度随失谐的演化; (C-E) 不同失谐参数下沿高对称线的能带结构,插图为M点附近能带结构虚部的放大视图,(C1-E1)对应M点的场分布,(C2-E2) 对应动量空间中的强度分布。
为充分展示该非厄米扭转光子晶格的“瞬时可操控”特性,研究团队通过精确调节系统参数(如失谐与功率),在实验中清晰观测到定向局域态的动态演化过程。值得注意的是,局域度随参数变化趋势与增益-损耗系数的演化基本一致,表明定向局域的建立与非厄米增益/损耗调制密切相关。进一步分析表明,该定向局域态主要源于非厄米增益-损耗主导下形成的局域平带。由于平带具有无色散特性,群速度近乎为零,光的传播被显著抑制,最终使输出光在动量空间中的强度分布由原本的二维对称衍射图样逐步“坍缩”为一维的定向局域态。这一可控转变揭示了通过动态调节非厄米效应,可以在动量空间中实现可编辑的定向光束缚。此外,研究团队将晶格扭转角引入为新的调控自由度,实现了局域方向的动态可调。上述结果充分体现了晶格几何扭转与非厄米性之间的协同作用,使得二维光子系统中的光局域呈现出动态、可逆且具有角度依赖的特征。

图3. 控制光失谐驱动的离域到定向局域的转变。(A) 不同控制光失谐下信号场动量空间图像的实验观测结果;(B)定向局域化因子以及理论模拟的增益与损耗比随控制光失谐的演化。

图4. 扭转角对局域化方向的调控。(A) 扭转角θ ≠ 90°时非厄米扭转光子晶格示意图;(B) 在θ = 30°时晶格折射率实部和虚部的模拟空间分布;(C) 不同扭转角θ下定向局域化因子随控制光失谐的变化;(D) 不同扭转角θ的动量空间图像的实验观测结果。
综上所述,该工作的主要创新性体现在以下三个方面:一是在四能级N型原子体系中,通过两束非相干光场的空间扭转叠加,首次实现了具有增益-损耗分布的动态可调非厄米扭转光子晶格;二是将非厄米平带与光在动量空间中的演化行为直接关联,实验上清晰观测到光强从二维对称衍射图样向一维定向局域分布的“坍缩”过程,为非厄米平带诱导的光局域提供了直接证据;三是通过协同调控激光失谐、功率以及扭转角等系统参数,实现了定向局域“强度-方向”的双重动态调控,展示了一种几何构型与非厄米效应协同的全新光场调控自由度。该工作不仅揭示了扭转光子晶格的非厄米能带重构与几何扭转之间的非平凡相互作用机制,也为扭转光子结构中的光操控研究提供了一个灵活、可拓展的多功能平台。
该工作得到科技部重点研发计划、国家自然科学基金、山西省“1331”工程重点学科建设基金、光量子技术与器件全国重点实验室以及省部共建极端光学协同创新中心的支持。
阅读全文
https://sciexplor.com/articles/lma.2026.0003
引用本文
Yuan J, Niu F, Zhang H, Wu C, Chen G, Wang L, et al. Non-Hermitian twisted photonic lattices. Light Manip Appl. 2026;1:202503. https://doi.org/10.70401/lma.2026.0003
下载PDFhttps://www.sciexplor.com/web/view/download?file=https://oss.sciexplor.com/manuscript/700/publish/LMA_202503.pdf

元晋鹏,山西大学激光光谱研究所教授、博士生导师。入选山西省“三晋英才”青年拔尖人才,山西省科学技术奖自然科学奖二等奖(排名第一)获得者。主要围绕激光与物质之间的相互作用展开研究,专注于量子精密测量、量子传感和光场调控等前沿领域。主持国家自然科学基金面上项目、青年项目、JKW-JCJQ项目等5项。在Reports on Progress in Physics、Laser & Photonics Reviews等学术期刊发表论文60余篇,授权美国和中国发明专利22项,担任高等教育出版社Frontiers of Physics期刊青年编委、中国激光杂志社青年编委和中国光学学会激光专业委员会青年委员。

汪丽蓉,山西大学激光光谱研究所教授,博士生导师。山西省“青年三晋学者”特聘教授。长期从事基于光学频率梳的精密测量、周期原子系综制备及相干操控、以及高精密原子分子光谱的研究工作。主持科技创新2030-“量子通信与量子计算机”重大项目课题1项,国家自然科学基金面上项目5项,以及其他省部级项目10余项。在Laser & Photonics Reviews,Photonics Research等学术刊物上发表SCI论文110余篇,授权国家发明专利30余项,相关研究成果获山西省科学技术奖(自然科学类)一等奖2项。

陈刚,郑州大学物理学院教授、院长。国家重点研发计划项目首席科学家;国家杰出青年科学基金、国家优秀青年科学基金获得者;享受国务院政府特殊津贴。主要从事人工微结构的理论和实验研究。在国际上率先实验证实了高阶拓扑半金属的存在和基于拓扑保护边界态的三维鲁棒输运;提出了通过增加光子模式调控系统对称性的新方法;发现了无能隙激发态,被国际著名实验组证实。主持科研项目20余项;以第一作者或通讯作者在 Nature Materials、Physical Review Letters、Physical Review A/ B 等国际期刊上发表学术论文100余篇。

Light Manipulation and Applications(LMA)是由Science Exploration Press推出的国际英文学术期刊,采用金色开放获取模式,实行严格的同行评议。期刊致力于发表高质量、具有学术影响力的研究,推动光场操控及其应用领域的基础理论突破与技术创新。
LMA由山东师范大学副校长、光场调控中心负责人蔡阳健教授担任主编。期刊聚焦光场操控及其多领域应用,涵盖光学基础物理、结构光生成与调控、光学涡旋与奇异光学、空间–时间结构光、量子光学及超快光学、纳米光学与超表面、成像、全息、通信、光学测量、传感与信息处理等方向,力求为光学与光子学的基础研究与应用开发提供全面、系统的学术交流平台。LMA与山东师范大学建立了官方合作关系,致力于推动国内外光学领域的学术交流与创新发展。
期刊主页:
https://sciexplor.com/lma
投稿地址:
https://www.intellimanus.com/#/login?journalPath=lma
联系编辑:
lmajournal@sciexplor.com

编辑部微信

Science Exploration Press是一家致力于传播高质量的科学研究成果的开放获取出版公司。自成立以来,Science Exploration Press协同各领域的专家创办了多本学术期刊,涵盖生物医学、建筑、计算机、材料等多个学科。
我们的使命 | Our Mission
我们致力于成为全球科研工作者可信赖的知识传播平台,推动科学进步、鼓励思想碰撞,让高质量研究触达世界每一个角落。
我们的价值观 | Our Core Values
学术为本:坚持严谨、公正、透明的审稿与出版流程,尊重每一份真实的科研努力。
开放共享:支持知识自由流通,让科研成果真正服务于全社会。
作者中心:以作者为中心,提供高效、友好的出版体验,并为研究传播提供全方位支持。
多样包容:鼓励跨学科、跨地域、跨视角的学术声音,让多样性成为创新的土壤。
影响力:我们相信,科研的影响力远不止数字。我们关注研究如何启发实践、服务社会、激发未来。
我们的承诺 | What We Stand For
我们不仅仅是一个出版平台,更是一个推动学术生态良性循环的行动者。我们坚信:
一本好期刊,是帮助真正有价值的研究被看见、被理解、被延续。
一次好合作,是基于共同理念的长期同行。
更多信息请访问Science Exploration Press官网:
https://www.sciexplor.com/
或联系我们:
contact@sciexplor.com

出版社官方网站















*点击图片了解期刊详情