
被誉为“终极半导体”的立方金刚石(CD)在科学界和工业界均引起了广泛关注。而它的同质异形体——六方金刚石(HD)则更为引人入胜,这得益于其与陨石撞击相关的迷人特性。然而,由于尚无确凿的实验证据证实六方金刚石的存在,其物理性质在很大程度上仍有待探索。
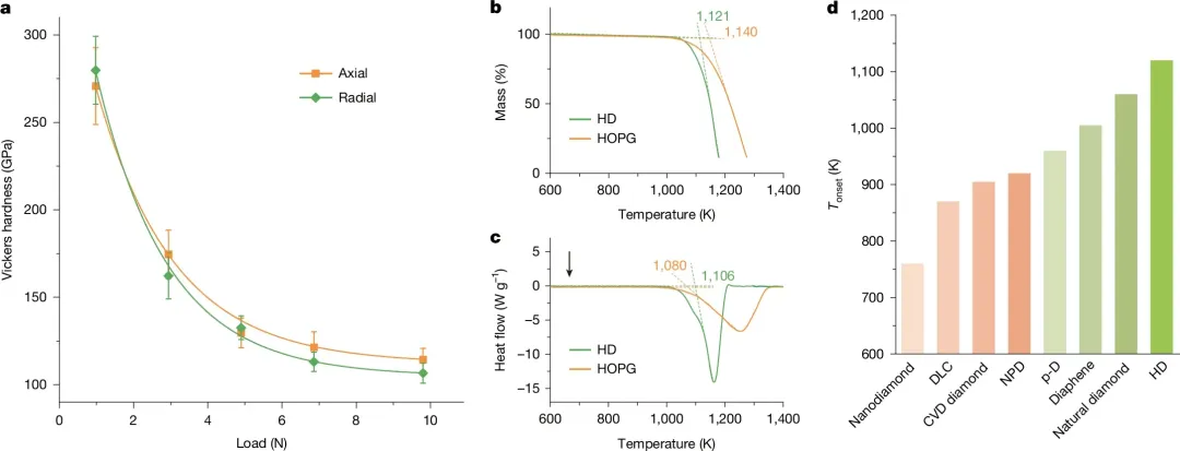
在此研究中,作者报道了通过沿c轴压缩高定向热解石墨(HOPG)并在高温条件下,成功合成毫米尺寸、纯相的六方金刚石。结合先进的结构表征与理论模拟,证实了六方金刚石的身份,并阐明了从石墨的转变路径。块体六方金刚石展现出略高于立方金刚石的硬度以及高热稳定性。这些发现解决了关于六方金刚石作为独立碳相是否存在的长期争议,并为石墨到金刚石的相变提供了新见解,为六方金刚石在未来先进技术应用中的研究与实践铺平了道路。




【相关文献】
【注】:小编水平有限,若有误,请联系修改;若侵权,请联系删除!