当前位置:首页>郑州>文献分享 | 郑州大学SCS发文提出城市内涝预警新框架:基于“水涝风险角”,精准量化预警时间,峰前暴雨风险更高

文献分享 | 郑州大学SCS发文提出城市内涝预警新框架:基于“水涝风险角”,精准量化预警时间,峰前暴雨风险更高

  • 2026-05-08 14:00:59
文献分享 | 郑州大学SCS发文提出城市内涝预警新框架:基于“水涝风险角”,精准量化预警时间,峰前暴雨风险更高

点击蓝字 关注我们

1

文章信息

题目: A new framework for early-warning classification of urban waterlogging risk based on waterlogging risk angle

期刊: Sustainable Cities and Society

作者: Honglin Xiao, Jinping Zhang*, Fuqiang Wang, Lingli Kong

发表日期 : 14 May 2025

DOI: 10.1016/j.scs.2025.10646

2

论文摘要

城市内涝风险的预警分级是提升城市可持续水安全、有效减少内涝灾害的主要防控措施。本文提出了内涝风险角的概念,并将其与构建的InfoWorks ICM模型相结合,用于确定城市内涝风险的预警分级。结果表明:(1)随着降雨历时的增加,内涝风险角值逐渐减小。且前峰型暴雨的内涝风险角值趋于更大,使得内涝灾害更容易发生。(2)在同一历时下,前峰型暴雨的Ⅰ级和Ⅱ级城市内涝风险预警时间均小于后峰型暴雨。此外,平均预警时间随降雨历时的增加而增加,其中1小时降雨历时对应的平均预警时间最小。(3)不同降雨历时下的城市内涝风险预警时间与暴雨特征之间存在紧密关系。前峰型暴雨强度和总降雨量的增加会缩短预警时间。(4)理论验证和实际验证均表明,所提出的预警时间是可行且适用的。本研究为其他城市开展城市内涝风险预警研究提供了新方法。

3

研究背景

随着全球城市化进程加快和极端天气事件频发,城市内涝灾害已成为威胁城市可持续发展的重要问题。特别是2021年郑州“7·20”特大暴雨灾害造成了重大人员伤亡和财产损失,国务院灾害调查组的调查报告指出,城市暴雨内涝预警机制亟待完善。当前城市内涝预警主要基于气候模型,但受城市下垫面条件和管网排水系统的复杂影响,实际产汇流过程更加复杂。现有的数值模拟方法虽然应用广泛,但受限于对水动力机理的理解不足和模型结构复杂;而机器学习方法虽然建模简单,但需要大量数据样本且难以描述水文物理机制。此外,现有研究多采用单一临界雨量进行预警,忽视了降雨雨型对内涝形成时间的重要影响,容易导致“空报”或“漏报”问题。

4

研究方法

本研究提出了一种基于水涝风险角(WRA)对城市水涝风险预警时间(EWTUWR)进行分类的新框架,其核心创新在于通过综合判断TRV、RP与内涝的特征及关系,提出了WRA这一新概念来确定城市水涝风险的预警分类。

Fig. 1. 城市水涝风险预警分类研究框架

具体研究方法与步骤包括:

模型构建与验证: 首先,选取中国郑州市中心城区五个区为研究区,收集了水文气象数据(降雨、积水点)、下垫面数据(土地利用、高程)和管网数据。利用这些数据构建了耦合一维管网与二维地面积水的InfoWorks ICM模型,模拟暴雨内涝演变过程。模型采用了SWMM进行地表汇流计算,用圣维南方程组全解模拟管网水流,并用二维有限体积法求解地表漫流。研究使用多场历史暴雨对模型参数进行了率定和验证,采用纳什效率系数(NSE)和洪峰流量误差(PFE)评估模型精度,结果显示模型模拟精度较高,可用于后续分析。

Fig. 2. 研究区位置及降雨站点分布图

Fig. 3. 研究区遥感影像与土地利用数据

水涝风险角(WRA)的提出与计算: 研究提出了WRA的概念,定义为降雨过程中临界降雨量(CR)与水平时间轴之间的夹角。通过降雨峰现系数区分峰前暴雨(FPR)和峰后暴雨(BPR),并分别用其WRA值的正切函数进行计算。

Fig. 4. 研究区排水管网概化图

预警时间分类与计算: 研究将EWTUWR根据积水深度划分为三个风险等级:Ⅰ级(低风险,15cm)、Ⅱ级(中风险,30cm)和Ⅲ级(高风险,40cm)。通过将累积降雨过程线与各等级临界水深线相交,得到各级风险的CR发生时间,再结合计算出的WRA值,利用特定公式分别计算FPR和BPR对应的EWTUWR。

Fig. 5. 峰前暴雨与峰后暴雨的水涝风险角及其与临界降雨量的关系示意图

Fig. 6. 城市水涝风险预警时间分类确定原理图

关系分析与验证: 分析了不同降雨历时下,FPR和BPR的WRA值分布规律,以及EWTUWR与暴雨特征(如峰前暴雨强度FPRI、总降雨量TRV)之间的相关关系。最后,通过理论验证(与中国《气象灾害防御条例》规定的避险时间对比)和实际验证(与实测内涝数据对比),证明了所提出预警时间计算方法的合理性和适用性。

5

研究结果

本研究的主要结论如下:

关于水涝风险角(WRA): WRA值能够结合降雨特征与内涝特性反映水涝灾害风险的形成。随着降雨历时的增加,WRA值逐渐减小。与BPR相比,FPR的降雨更集中,对应的WRA值更大,因此更易形成水涝灾害。

Fig. 7. 研究区二维水涝模型

Fig. 8. 不同降雨事件下参数率定与验证的流量模拟结果

关于预警时间(EWTUWR):

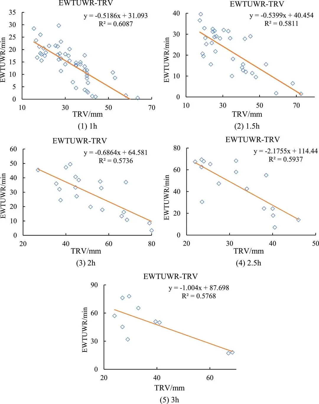
不同情景下,Ⅰ级和Ⅱ级的平均EWTUWR随降雨历时延长而增加,且Ⅱ级的平均预警时间更长。其中,1小时降雨历时对应的平均EWTUWR最小。

Fig. 9. 模拟积水点与实际统计积水点对比

Fig. 11. 不同情景下Ⅰ级预警的城市水涝风险预警时间箱线图

Fig. 12. 不同情景下Ⅱ级预警的城市水涝风险预警时间箱线图

Fig. 13. 不同降雨历时下Ⅰ级预警时间与峰前暴雨强度的关系

相同历时下,FPR的Ⅰ级和Ⅱ级平均EWTUWR均小于BPR。这是因为FPR的降雨峰现位置相对靠前,降雨更集中,能更快达到峰现降雨量,导致管网排水能力不足,因此内涝风险更高,预警时间更早,避险时间更短。

Fig. 14. 不同降雨历时下Ⅰ级预警时间与总降雨量的关系

Fig. 15. 不同降雨历时下Ⅱ级预警时间与峰前暴雨强度的关系

Fig. 16. 不同降雨历时下Ⅱ级预警时间与总降雨量的关系

关于预警时间与暴雨特征的关系:级和Ⅱ级EWTUWR与降雨峰现位置、峰前暴雨强度(FPRI)和总降雨量(TRV)密切相关。随着FPRI和TRV的增加,对应的EWTUWR会缩短(预警提前)。其中,FPRI对EWTUWR的影响更大(相关性系数更高),而TRV的影响相对较小。

Fig. 17. 用于验证的6场1小时历时暴雨事件每10分钟降雨量分布

关于方法的验证: 理论验证和实际验证均表明,本研究计算出的所选暴雨事件的EWTUWR是可用且合适的,因为它们能为规避水涝风险预留足够时间。同时,降雨量越大,累积降雨量超过临界值的时间越早,导致EWTUWR也越提前。即随着水涝风险等级提高,EWTUWR也更早。

Fig. 18. 1小时降雨历时下暴雨的累积降雨量与不同水涝风险的临界降雨量

6

未来研究展望

本研究提出的基于WRA的城市水涝风险预警分类新框架,综合考虑了降雨多维特征与内涝过程,为不同风险等级提供了预警方法,提高了预警精度,对提升城市韧性、促进可持续发展具有参考价值。然而,研究也存在一些局限性,为未来工作指明了方向:

降雨模式的扩展: 本研究在计算EWTUWR和WRA时,仅考虑了单峰降雨模式,未来研究可扩展到双峰及其他复杂降雨模式下的城市水涝风险预警。

不确定性的考量: EWTUWR的计算基于降雨量、降雨模式和内涝过程等因素,但不同暴雨过程特性不同,且内涝过程受模型及其参数精度影响,使得不同降雨历时下的预警分类结果存在不确定性。未来需结合暴雨和模型特性,对预警时间相关的不确定性进行分析。

预警全过程的完善: 本研究仅关注了预警发布时间的确定,未考虑水涝风险的预警解除时间。完整的预警应包括“发布”和“解除”两个关键节点,未来需研究预警解除的机理与计算方法。

方法的推广与应用: 本研究以郑州市为例,所提出的研究框架为其他城市开展水涝风险预警分类提供了有效途径。未来可在不同地理气候条件和城市基础设施水平的城市中应用和验证该方法的普适性,并进一步集成实时监测数据,发展动态、自适应的预警系统。

引用

Xiao, H., Zhang, J., Wang, F., & Kong, L. (2025). A new framework for early-warning classification of urban waterlogging risk based on waterlogging risk angle. Sustainable Cities and Society, 127, 106460. https://doi.org/10.1016/j.scs.2025.106460

本文由【生态风险与韧性前沿】发布,欢迎转发分享,转载请注明出处。

关注我们,共同探索生态风险与韧性提升的发展之路。

最新文章

随机文章

基本 文件 流程 错误 SQL 调试
  1. 请求信息 : 2026-05-23 01:10:02 HTTP/2.0 GET : https://i.460.net.cn/a/491201.html
  2. 运行时间 : 0.089848s [ 吞吐率:11.13req/s ] 内存消耗:4,409.19kb 文件加载:140
  3. 缓存信息 : 0 reads,0 writes
  4. 会话信息 : SESSION_ID=dc50353831dd36c3869e038ea5367c82
  1. /yingpanguazai/ssd/ssd1/www/i.460.net.cn/public/index.php ( 0.79 KB )
  2. /yingpanguazai/ssd/ssd1/www/i.460.net.cn/vendor/autoload.php ( 0.17 KB )
  3. /yingpanguazai/ssd/ssd1/www/i.460.net.cn/vendor/composer/autoload_real.php ( 2.49 KB )
  4. /yingpanguazai/ssd/ssd1/www/i.460.net.cn/vendor/composer/platform_check.php ( 0.90 KB )
  5. /yingpanguazai/ssd/ssd1/www/i.460.net.cn/vendor/composer/ClassLoader.php ( 14.03 KB )
  6. /yingpanguazai/ssd/ssd1/www/i.460.net.cn/vendor/composer/autoload_static.php ( 4.90 KB )
  7. /yingpanguazai/ssd/ssd1/www/i.460.net.cn/vendor/topthink/think-helper/src/helper.php ( 8.34 KB )
  8. /yingpanguazai/ssd/ssd1/www/i.460.net.cn/vendor/topthink/think-validate/src/helper.php ( 2.19 KB )
  9. /yingpanguazai/ssd/ssd1/www/i.460.net.cn/vendor/topthink/think-orm/src/helper.php ( 1.47 KB )
  10. /yingpanguazai/ssd/ssd1/www/i.460.net.cn/vendor/topthink/think-orm/stubs/load_stubs.php ( 0.16 KB )
  11. /yingpanguazai/ssd/ssd1/www/i.460.net.cn/vendor/topthink/framework/src/think/Exception.php ( 1.69 KB )
  12. /yingpanguazai/ssd/ssd1/www/i.460.net.cn/vendor/topthink/think-container/src/Facade.php ( 2.71 KB )
  13. /yingpanguazai/ssd/ssd1/www/i.460.net.cn/vendor/symfony/deprecation-contracts/function.php ( 0.99 KB )
  14. /yingpanguazai/ssd/ssd1/www/i.460.net.cn/vendor/symfony/polyfill-mbstring/bootstrap.php ( 8.26 KB )
  15. /yingpanguazai/ssd/ssd1/www/i.460.net.cn/vendor/symfony/polyfill-mbstring/bootstrap80.php ( 9.78 KB )
  16. /yingpanguazai/ssd/ssd1/www/i.460.net.cn/vendor/symfony/var-dumper/Resources/functions/dump.php ( 1.49 KB )
  17. /yingpanguazai/ssd/ssd1/www/i.460.net.cn/vendor/topthink/think-dumper/src/helper.php ( 0.18 KB )
  18. /yingpanguazai/ssd/ssd1/www/i.460.net.cn/vendor/symfony/var-dumper/VarDumper.php ( 4.30 KB )
  19. /yingpanguazai/ssd/ssd1/www/i.460.net.cn/vendor/topthink/framework/src/think/App.php ( 15.30 KB )
  20. /yingpanguazai/ssd/ssd1/www/i.460.net.cn/vendor/topthink/think-container/src/Container.php ( 15.76 KB )
  21. /yingpanguazai/ssd/ssd1/www/i.460.net.cn/vendor/psr/container/src/ContainerInterface.php ( 1.02 KB )
  22. /yingpanguazai/ssd/ssd1/www/i.460.net.cn/app/provider.php ( 0.19 KB )
  23. /yingpanguazai/ssd/ssd1/www/i.460.net.cn/vendor/topthink/framework/src/think/Http.php ( 6.04 KB )
  24. /yingpanguazai/ssd/ssd1/www/i.460.net.cn/vendor/topthink/think-helper/src/helper/Str.php ( 7.29 KB )
  25. /yingpanguazai/ssd/ssd1/www/i.460.net.cn/vendor/topthink/framework/src/think/Env.php ( 4.68 KB )
  26. /yingpanguazai/ssd/ssd1/www/i.460.net.cn/app/common.php ( 0.03 KB )
  27. /yingpanguazai/ssd/ssd1/www/i.460.net.cn/vendor/topthink/framework/src/helper.php ( 18.78 KB )
  28. /yingpanguazai/ssd/ssd1/www/i.460.net.cn/vendor/topthink/framework/src/think/Config.php ( 5.54 KB )
  29. /yingpanguazai/ssd/ssd1/www/i.460.net.cn/config/app.php ( 0.95 KB )
  30. /yingpanguazai/ssd/ssd1/www/i.460.net.cn/config/cache.php ( 0.78 KB )
  31. /yingpanguazai/ssd/ssd1/www/i.460.net.cn/config/console.php ( 0.23 KB )
  32. /yingpanguazai/ssd/ssd1/www/i.460.net.cn/config/cookie.php ( 0.56 KB )
  33. /yingpanguazai/ssd/ssd1/www/i.460.net.cn/config/database.php ( 2.47 KB )
  34. /yingpanguazai/ssd/ssd1/www/i.460.net.cn/vendor/topthink/framework/src/think/facade/Env.php ( 1.67 KB )
  35. /yingpanguazai/ssd/ssd1/www/i.460.net.cn/config/filesystem.php ( 0.61 KB )
  36. /yingpanguazai/ssd/ssd1/www/i.460.net.cn/config/lang.php ( 0.91 KB )
  37. /yingpanguazai/ssd/ssd1/www/i.460.net.cn/config/log.php ( 1.35 KB )
  38. /yingpanguazai/ssd/ssd1/www/i.460.net.cn/config/middleware.php ( 0.19 KB )
  39. /yingpanguazai/ssd/ssd1/www/i.460.net.cn/config/route.php ( 1.89 KB )
  40. /yingpanguazai/ssd/ssd1/www/i.460.net.cn/config/session.php ( 0.57 KB )
  41. /yingpanguazai/ssd/ssd1/www/i.460.net.cn/config/trace.php ( 0.34 KB )
  42. /yingpanguazai/ssd/ssd1/www/i.460.net.cn/config/view.php ( 0.82 KB )
  43. /yingpanguazai/ssd/ssd1/www/i.460.net.cn/app/event.php ( 0.25 KB )
  44. /yingpanguazai/ssd/ssd1/www/i.460.net.cn/vendor/topthink/framework/src/think/Event.php ( 7.67 KB )
  45. /yingpanguazai/ssd/ssd1/www/i.460.net.cn/app/service.php ( 0.13 KB )
  46. /yingpanguazai/ssd/ssd1/www/i.460.net.cn/app/AppService.php ( 0.26 KB )
  47. /yingpanguazai/ssd/ssd1/www/i.460.net.cn/vendor/topthink/framework/src/think/Service.php ( 1.64 KB )
  48. /yingpanguazai/ssd/ssd1/www/i.460.net.cn/vendor/topthink/framework/src/think/Lang.php ( 7.35 KB )
  49. /yingpanguazai/ssd/ssd1/www/i.460.net.cn/vendor/topthink/framework/src/lang/zh-cn.php ( 13.70 KB )
  50. /yingpanguazai/ssd/ssd1/www/i.460.net.cn/vendor/topthink/framework/src/think/initializer/Error.php ( 3.31 KB )
  51. /yingpanguazai/ssd/ssd1/www/i.460.net.cn/vendor/topthink/framework/src/think/initializer/RegisterService.php ( 1.33 KB )
  52. /yingpanguazai/ssd/ssd1/www/i.460.net.cn/vendor/services.php ( 0.14 KB )
  53. /yingpanguazai/ssd/ssd1/www/i.460.net.cn/vendor/topthink/framework/src/think/service/PaginatorService.php ( 1.52 KB )
  54. /yingpanguazai/ssd/ssd1/www/i.460.net.cn/vendor/topthink/framework/src/think/service/ValidateService.php ( 0.99 KB )
  55. /yingpanguazai/ssd/ssd1/www/i.460.net.cn/vendor/topthink/framework/src/think/service/ModelService.php ( 2.04 KB )
  56. /yingpanguazai/ssd/ssd1/www/i.460.net.cn/vendor/topthink/think-trace/src/Service.php ( 0.77 KB )
  57. /yingpanguazai/ssd/ssd1/www/i.460.net.cn/vendor/topthink/framework/src/think/Middleware.php ( 6.72 KB )
  58. /yingpanguazai/ssd/ssd1/www/i.460.net.cn/vendor/topthink/framework/src/think/initializer/BootService.php ( 0.77 KB )
  59. /yingpanguazai/ssd/ssd1/www/i.460.net.cn/vendor/topthink/think-orm/src/Paginator.php ( 11.86 KB )
  60. /yingpanguazai/ssd/ssd1/www/i.460.net.cn/vendor/topthink/think-validate/src/Validate.php ( 63.20 KB )
  61. /yingpanguazai/ssd/ssd1/www/i.460.net.cn/vendor/topthink/think-orm/src/Model.php ( 23.55 KB )
  62. /yingpanguazai/ssd/ssd1/www/i.460.net.cn/vendor/topthink/think-orm/src/model/concern/Attribute.php ( 21.05 KB )
  63. /yingpanguazai/ssd/ssd1/www/i.460.net.cn/vendor/topthink/think-orm/src/model/concern/AutoWriteData.php ( 4.21 KB )
  64. /yingpanguazai/ssd/ssd1/www/i.460.net.cn/vendor/topthink/think-orm/src/model/concern/Conversion.php ( 6.44 KB )
  65. /yingpanguazai/ssd/ssd1/www/i.460.net.cn/vendor/topthink/think-orm/src/model/concern/DbConnect.php ( 5.16 KB )
  66. /yingpanguazai/ssd/ssd1/www/i.460.net.cn/vendor/topthink/think-orm/src/model/concern/ModelEvent.php ( 2.33 KB )
  67. /yingpanguazai/ssd/ssd1/www/i.460.net.cn/vendor/topthink/think-orm/src/model/concern/RelationShip.php ( 28.29 KB )
  68. /yingpanguazai/ssd/ssd1/www/i.460.net.cn/vendor/topthink/think-helper/src/contract/Arrayable.php ( 0.09 KB )
  69. /yingpanguazai/ssd/ssd1/www/i.460.net.cn/vendor/topthink/think-helper/src/contract/Jsonable.php ( 0.13 KB )
  70. /yingpanguazai/ssd/ssd1/www/i.460.net.cn/vendor/topthink/think-orm/src/model/contract/Modelable.php ( 0.09 KB )
  71. /yingpanguazai/ssd/ssd1/www/i.460.net.cn/vendor/topthink/framework/src/think/Db.php ( 2.88 KB )
  72. /yingpanguazai/ssd/ssd1/www/i.460.net.cn/vendor/topthink/think-orm/src/DbManager.php ( 8.52 KB )
  73. /yingpanguazai/ssd/ssd1/www/i.460.net.cn/vendor/topthink/framework/src/think/Log.php ( 6.28 KB )
  74. /yingpanguazai/ssd/ssd1/www/i.460.net.cn/vendor/topthink/framework/src/think/Manager.php ( 3.92 KB )
  75. /yingpanguazai/ssd/ssd1/www/i.460.net.cn/vendor/psr/log/src/LoggerTrait.php ( 2.69 KB )
  76. /yingpanguazai/ssd/ssd1/www/i.460.net.cn/vendor/psr/log/src/LoggerInterface.php ( 2.71 KB )
  77. /yingpanguazai/ssd/ssd1/www/i.460.net.cn/vendor/topthink/framework/src/think/Cache.php ( 4.92 KB )
  78. /yingpanguazai/ssd/ssd1/www/i.460.net.cn/vendor/psr/simple-cache/src/CacheInterface.php ( 4.71 KB )
  79. /yingpanguazai/ssd/ssd1/www/i.460.net.cn/vendor/topthink/think-helper/src/helper/Arr.php ( 16.63 KB )
  80. /yingpanguazai/ssd/ssd1/www/i.460.net.cn/vendor/topthink/framework/src/think/cache/driver/File.php ( 7.84 KB )
  81. /yingpanguazai/ssd/ssd1/www/i.460.net.cn/vendor/topthink/framework/src/think/cache/Driver.php ( 9.03 KB )
  82. /yingpanguazai/ssd/ssd1/www/i.460.net.cn/vendor/topthink/framework/src/think/contract/CacheHandlerInterface.php ( 1.99 KB )
  83. /yingpanguazai/ssd/ssd1/www/i.460.net.cn/app/Request.php ( 0.09 KB )
  84. /yingpanguazai/ssd/ssd1/www/i.460.net.cn/vendor/topthink/framework/src/think/Request.php ( 55.78 KB )
  85. /yingpanguazai/ssd/ssd1/www/i.460.net.cn/app/middleware.php ( 0.25 KB )
  86. /yingpanguazai/ssd/ssd1/www/i.460.net.cn/vendor/topthink/framework/src/think/Pipeline.php ( 2.61 KB )
  87. /yingpanguazai/ssd/ssd1/www/i.460.net.cn/vendor/topthink/think-trace/src/TraceDebug.php ( 3.40 KB )
  88. /yingpanguazai/ssd/ssd1/www/i.460.net.cn/vendor/topthink/framework/src/think/middleware/SessionInit.php ( 1.94 KB )
  89. /yingpanguazai/ssd/ssd1/www/i.460.net.cn/vendor/topthink/framework/src/think/Session.php ( 1.80 KB )
  90. /yingpanguazai/ssd/ssd1/www/i.460.net.cn/vendor/topthink/framework/src/think/session/driver/File.php ( 6.27 KB )
  91. /yingpanguazai/ssd/ssd1/www/i.460.net.cn/vendor/topthink/framework/src/think/contract/SessionHandlerInterface.php ( 0.87 KB )
  92. /yingpanguazai/ssd/ssd1/www/i.460.net.cn/vendor/topthink/framework/src/think/session/Store.php ( 7.12 KB )
  93. /yingpanguazai/ssd/ssd1/www/i.460.net.cn/vendor/topthink/framework/src/think/Route.php ( 23.73 KB )
  94. /yingpanguazai/ssd/ssd1/www/i.460.net.cn/vendor/topthink/framework/src/think/route/RuleName.php ( 5.75 KB )
  95. /yingpanguazai/ssd/ssd1/www/i.460.net.cn/vendor/topthink/framework/src/think/route/Domain.php ( 2.53 KB )
  96. /yingpanguazai/ssd/ssd1/www/i.460.net.cn/vendor/topthink/framework/src/think/route/RuleGroup.php ( 22.43 KB )
  97. /yingpanguazai/ssd/ssd1/www/i.460.net.cn/vendor/topthink/framework/src/think/route/Rule.php ( 26.95 KB )
  98. /yingpanguazai/ssd/ssd1/www/i.460.net.cn/vendor/topthink/framework/src/think/route/RuleItem.php ( 9.78 KB )
  99. /yingpanguazai/ssd/ssd1/www/i.460.net.cn/route/app.php ( 1.72 KB )
  100. /yingpanguazai/ssd/ssd1/www/i.460.net.cn/vendor/topthink/framework/src/think/facade/Route.php ( 4.70 KB )
  101. /yingpanguazai/ssd/ssd1/www/i.460.net.cn/vendor/topthink/framework/src/think/route/dispatch/Controller.php ( 4.74 KB )
  102. /yingpanguazai/ssd/ssd1/www/i.460.net.cn/vendor/topthink/framework/src/think/route/Dispatch.php ( 10.44 KB )
  103. /yingpanguazai/ssd/ssd1/www/i.460.net.cn/app/controller/Index.php ( 4.81 KB )
  104. /yingpanguazai/ssd/ssd1/www/i.460.net.cn/app/BaseController.php ( 2.05 KB )
  105. /yingpanguazai/ssd/ssd1/www/i.460.net.cn/vendor/topthink/think-orm/src/facade/Db.php ( 0.93 KB )
  106. /yingpanguazai/ssd/ssd1/www/i.460.net.cn/vendor/topthink/think-orm/src/db/connector/Mysql.php ( 5.44 KB )
  107. /yingpanguazai/ssd/ssd1/www/i.460.net.cn/vendor/topthink/think-orm/src/db/PDOConnection.php ( 52.47 KB )
  108. /yingpanguazai/ssd/ssd1/www/i.460.net.cn/vendor/topthink/think-orm/src/db/Connection.php ( 8.39 KB )
  109. /yingpanguazai/ssd/ssd1/www/i.460.net.cn/vendor/topthink/think-orm/src/db/ConnectionInterface.php ( 4.57 KB )
  110. /yingpanguazai/ssd/ssd1/www/i.460.net.cn/vendor/topthink/think-orm/src/db/builder/Mysql.php ( 16.58 KB )
  111. /yingpanguazai/ssd/ssd1/www/i.460.net.cn/vendor/topthink/think-orm/src/db/Builder.php ( 24.06 KB )
  112. /yingpanguazai/ssd/ssd1/www/i.460.net.cn/vendor/topthink/think-orm/src/db/BaseBuilder.php ( 27.50 KB )
  113. /yingpanguazai/ssd/ssd1/www/i.460.net.cn/vendor/topthink/think-orm/src/db/Query.php ( 15.71 KB )
  114. /yingpanguazai/ssd/ssd1/www/i.460.net.cn/vendor/topthink/think-orm/src/db/BaseQuery.php ( 45.13 KB )
  115. /yingpanguazai/ssd/ssd1/www/i.460.net.cn/vendor/topthink/think-orm/src/db/concern/TimeFieldQuery.php ( 7.43 KB )
  116. /yingpanguazai/ssd/ssd1/www/i.460.net.cn/vendor/topthink/think-orm/src/db/concern/AggregateQuery.php ( 3.26 KB )
  117. /yingpanguazai/ssd/ssd1/www/i.460.net.cn/vendor/topthink/think-orm/src/db/concern/ModelRelationQuery.php ( 20.07 KB )
  118. /yingpanguazai/ssd/ssd1/www/i.460.net.cn/vendor/topthink/think-orm/src/db/concern/ParamsBind.php ( 3.66 KB )
  119. /yingpanguazai/ssd/ssd1/www/i.460.net.cn/vendor/topthink/think-orm/src/db/concern/ResultOperation.php ( 7.01 KB )
  120. /yingpanguazai/ssd/ssd1/www/i.460.net.cn/vendor/topthink/think-orm/src/db/concern/WhereQuery.php ( 19.37 KB )
  121. /yingpanguazai/ssd/ssd1/www/i.460.net.cn/vendor/topthink/think-orm/src/db/concern/JoinAndViewQuery.php ( 7.11 KB )
  122. /yingpanguazai/ssd/ssd1/www/i.460.net.cn/vendor/topthink/think-orm/src/db/concern/TableFieldInfo.php ( 2.63 KB )
  123. /yingpanguazai/ssd/ssd1/www/i.460.net.cn/vendor/topthink/think-orm/src/db/concern/Transaction.php ( 2.77 KB )
  124. /yingpanguazai/ssd/ssd1/www/i.460.net.cn/vendor/topthink/framework/src/think/log/driver/File.php ( 5.96 KB )
  125. /yingpanguazai/ssd/ssd1/www/i.460.net.cn/vendor/topthink/framework/src/think/contract/LogHandlerInterface.php ( 0.86 KB )
  126. /yingpanguazai/ssd/ssd1/www/i.460.net.cn/vendor/topthink/framework/src/think/log/Channel.php ( 3.89 KB )
  127. /yingpanguazai/ssd/ssd1/www/i.460.net.cn/vendor/topthink/framework/src/think/event/LogRecord.php ( 1.02 KB )
  128. /yingpanguazai/ssd/ssd1/www/i.460.net.cn/vendor/topthink/think-helper/src/Collection.php ( 16.47 KB )
  129. /yingpanguazai/ssd/ssd1/www/i.460.net.cn/vendor/topthink/framework/src/think/facade/View.php ( 1.70 KB )
  130. /yingpanguazai/ssd/ssd1/www/i.460.net.cn/vendor/topthink/framework/src/think/View.php ( 4.39 KB )
  131. /yingpanguazai/ssd/ssd1/www/i.460.net.cn/vendor/topthink/framework/src/think/Response.php ( 8.81 KB )
  132. /yingpanguazai/ssd/ssd1/www/i.460.net.cn/vendor/topthink/framework/src/think/response/View.php ( 3.29 KB )
  133. /yingpanguazai/ssd/ssd1/www/i.460.net.cn/vendor/topthink/framework/src/think/Cookie.php ( 6.06 KB )
  134. /yingpanguazai/ssd/ssd1/www/i.460.net.cn/vendor/topthink/think-view/src/Think.php ( 8.38 KB )
  135. /yingpanguazai/ssd/ssd1/www/i.460.net.cn/vendor/topthink/framework/src/think/contract/TemplateHandlerInterface.php ( 1.60 KB )
  136. /yingpanguazai/ssd/ssd1/www/i.460.net.cn/vendor/topthink/think-template/src/Template.php ( 46.61 KB )
  137. /yingpanguazai/ssd/ssd1/www/i.460.net.cn/vendor/topthink/think-template/src/template/driver/File.php ( 2.41 KB )
  138. /yingpanguazai/ssd/ssd1/www/i.460.net.cn/vendor/topthink/think-template/src/template/contract/DriverInterface.php ( 0.86 KB )
  139. /yingpanguazai/ssd/ssd1/www/i.460.net.cn/runtime/temp/ea612fc1da910b74827694dd9af81119.php ( 11.98 KB )
  140. /yingpanguazai/ssd/ssd1/www/i.460.net.cn/vendor/topthink/think-trace/src/Html.php ( 4.42 KB )
  1. CONNECT:[ UseTime:0.000724s ] mysql:host=127.0.0.1;port=3306;dbname=i460;charset=utf8mb4
  2. SHOW FULL COLUMNS FROM `fenlei` [ RunTime:0.000714s ]
  3. SELECT * FROM `fenlei` WHERE `fid` = 0 [ RunTime:0.001981s ]
  4. SELECT * FROM `fenlei` WHERE `fid` = 63 [ RunTime:0.000352s ]
  5. SHOW FULL COLUMNS FROM `set` [ RunTime:0.000607s ]
  6. SELECT * FROM `set` [ RunTime:0.000261s ]
  7. SHOW FULL COLUMNS FROM `article` [ RunTime:0.000611s ]
  8. SELECT * FROM `article` WHERE `id` = 491201 LIMIT 1 [ RunTime:0.000473s ]
  9. UPDATE `article` SET `lasttime` = 1779469802 WHERE `id` = 491201 [ RunTime:0.005192s ]
  10. SELECT * FROM `fenlei` WHERE `id` = 64 LIMIT 1 [ RunTime:0.000336s ]
  11. SELECT * FROM `article` WHERE `id` < 491201 ORDER BY `id` DESC LIMIT 1 [ RunTime:0.000619s ]
  12. SELECT * FROM `article` WHERE `id` > 491201 ORDER BY `id` ASC LIMIT 1 [ RunTime:0.000415s ]
  13. SELECT * FROM `article` WHERE `id` < 491201 ORDER BY `id` DESC LIMIT 10 [ RunTime:0.000921s ]
  14. SELECT * FROM `article` WHERE `id` < 491201 ORDER BY `id` DESC LIMIT 10,10 [ RunTime:0.000652s ]
  15. SELECT * FROM `article` WHERE `id` < 491201 ORDER BY `id` DESC LIMIT 20,10 [ RunTime:0.001006s ]
0.091907s