发光(纳米)测温技术已成为一种强大的传感技术,具有远程操作、高空间分辨率以及与小型化和动态环境兼容的特点。在过去十年中,镧系掺杂体系因其丰富的发射能级阶梯、优异的光稳定性、大斯托克斯位移和长荧光寿命而备受欢迎,为各种应用提供了可靠的原位热映射。这种实时温度反馈已被用于研究基本物理现象,例如量化布朗运动的瞬时速度和揭示锂离子电池中的热生成机制,以及推动生物医学领域的进步,包括肿瘤辅助热疗、脑代谢活动的无创监测以及可摄入多功能诊疗胶囊的开发。
近年来,双钙钛矿卤化物作为有前景的基质材料引起了广泛关注,因其具有高缺陷容忍度、独特的八面体排列和本征低声子能量,为镧系离子的高效稳定占据提供了理想的晶体环境。此外,这些材料固有的软晶格和强电子 - 声子耦合促进了强烈的自陷激子(STE)发射的形成,这种发射对温度变化高度敏感,为下一代发光温度计的发展开辟了新途径。通过战略性地将宽带 STE 发射与镧系离子尖锐、明确的 f-f 跃迁耦合,可以设计出高灵敏度、多模态和多路复用的发光温度计。然而,一个关键挑战在于精确调控 STE 的光谱位置和热响应,这需要深入了解其热激活动力学以支持高性能、按需应用。
传统上,发光热成像依赖于预定义的校准曲线和简化的分析模型,将发光信号与温度关联起来。虽然在理想条件下有效,但这些方法在复杂环境中往往因校准漂移、动态干扰和信号交叉敏感性而不足,从而限制了准确性、适应性和可重复性。令人鼓舞的是,深度学习的进步可以通过从原始光谱或成像数据中自动学习稳健的特征表示来规避这些限制,从而在广泛条件下提供自适应、高保真的温度估计,标志着向完全自主和高通量热传感迈出了变革性的一步。原则上,基于卷积神经网络和目标检测模型的颜色识别技术可以直接从荧光图像的红 - 绿 - 蓝(RGB)通道中识别与温度相关的特征,从而消除了对笨重复杂光谱仪器的需求。尽管前景广阔,但深度学习驱动的发光测温技术在实现准确、实时和便携式热成像方面的实际应用仍未得到充分探索。
在这项研究中,郑州大学史志锋、陈旭、贾陌尘等阐明了 STE 的热辅助解陷机制,并介绍了一个基于阳离子工程化双钙钛矿的便携式智能比色热成像平台。调控三价阳离子位点可调节尺寸依赖的晶格硬度和键离子性,从而增强激子自陷过程中的晶格弛豫,导致 STE 发射的渐进红移和解陷热激活能垒的降低。值得注意的是,Cs₂NaInCl₆中强烈的四阶声子非谐性驱动了显著的晶格热膨胀和软化的键力常数,产生了无铅钙钛矿中报道的超低热激活能(45.08 meV)。尽管表现出最强的热猝灭,但它仍保持 85.27% 的高光致发光量子产率(PLQY)。通过利用 Er³⁺离子作为光谱稳定的发射器以诱导明显的热致变色行为,提出了一种基于色相 - 饱和度 - 明度(HSV)的比色测温方法,与传统的基于 RGB 的方法相比,能够更精确和稳健地量化固有色彩特性。为进一步减轻环境光波动和视角变化引起的伪影,集成了一种深度学习算法,能够直接从原始荧光图像中进行端到端的温度解码,准确率高达 92.20%。
示意图1. 具有三维八面体结构的双钙钛矿卤化物中热致变色响应的示意图。
图1.材料结构与性质表征。
图2.铟基双钙钛矿材料中的快速热淬火。
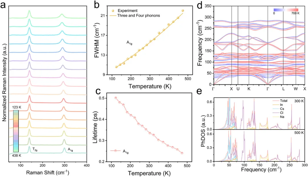
图3.铟基双钙钛矿的强非谐性。
图4.利用铒离子进行基于热敏比色法的温度测量的应用。
图5.深度学习辅助的比色热成像。
文章详情:
文章链接和二维码(点击链接或扫描二维码可以直接访问文章页面):
https://advanced.onlinelibrary.wiley.com/doi/10.1002/adfm.75233
