郑州大学吉建涛课题组WR:通过污泥超越厌氧/好氧/缺氧工艺强化碳源分配与利用:实现低碳氮比、低温条件下市政污水超高效营养物去除
第一作者:胡飞悦 博士研究生(郑州大学)
通讯作者:吉建涛 教授(郑州大学)
论文DOI: 10.1016/j.watres.2026.125901
近日,郑州大学吉建涛教授课题组在Water Research上发表了题为“Enhancing carbon allocation and utilization via a sludge-bypass anaerobic/oxic/anoxic process for ultra-efficient nutrient removal from municipal wastewater under low C/N and temperature conditions”的研究论文(DOI:10.1016/j.watres.2026.125901)。该研究针对传统生物处理工艺在低碳氮比(C/N)、低温条件下碳源不足、氮磷协同去除效率低的难题,创新性地提出了新型污泥超越泥膜混合厌氧/好氧/缺氧(AOA)工艺。通过增设中沉过渡池,该工艺成功将富含内碳源(PHAs)的污泥从厌氧区超越至缺氧区,有效避免了PHAs在好氧区的无效消耗,从而显著提升了后续同步脱氮除磷的效率。经过320天的连续运行,该污泥超越AOA系统在15.6 ℃,C/N为3.8条件下,实现了92.8%的平均总氮(TIN)和90.3%的总磷(TP)去除率,为低碳、低温地区污水处理厂的高效稳定运行提供了新的技术路径。针对低C/N比、低温下市政污水处理中碳源不足导致协同脱氮除磷效率较低的瓶颈问题,本研究开发了一种新型“污泥超越”泥膜混合AOA工艺。该工艺通过在厌氧区后设置中沉过渡池,将富含PHAs的污泥直接“超越”至缺氧区,巧妙地规避了传统工艺中内碳源在好氧区被无效氧化的关键缺陷。320天的长期运行结果表明,该工艺在C/N=3.8、15.6 ℃的严苛条件下,实现了稳定高效的营养物去除性能。研究结合批次试验、物料衡算和微生物群落分析等手段,系统揭示了工艺通过优化碳源分配、调控微生物生态位(促进PAOs富集)以及强化内源短程反硝化、厌氧氨氧化、反硝化除磷等途径协同实现超高效脱氮除磷的机理。该研究为现有污水处理厂的升级改造提供了极具潜力的节能降碳解决方案。传统污水处理工艺中,好氧区会不可避免地驱动内碳源(如PHA)代谢氧化,导致其被“无效消耗”。这使得有限的碳源无法有效留存至后续的缺氧区,从而严重制约了系统在低C/N和低温条件下同步脱氮除磷性能。针对上述瓶颈,本研究开发了新型“污泥超越”AOA工艺。其关键设计是在厌氧区与好氧区之间增设中沉过渡池,将富含PHAs的污泥直接“超越”至缺氧区,从而有效保护内碳源免受好氧氧化。本研究证明,该设计确保了碳源在缺氧区的充足供应,强化了内源短程反硝化、厌氧氨氧化、反硝化除磷等多途径协同作用,最终在C/N仅3.8、温度低至15.6 ℃的严苛条件下,实现了92.8%和90.3%的氮和磷平均去除率。污泥超越AOA反应器营养物质去除性能
Fig. 1. The nutrient removal performance in sludge-bypass AOA reactor.
在进水C/N低至3.8、水温降至15.6 ℃时,系统表现出了杰出的性能:平均NRE和PRE分别高达92.8%和90.3%,出水TN和TP浓度分别仅为4.2 mg/L和0.6 mg/L。与文献报道的其他AOA变体工艺(如推流式AOA等)相比,本研究的污泥超越泥膜混合AOA系统在温度更低、碳源更有限的条件下,取得了更优的脱氮和除磷效率,充分证明了该工艺在低C/N和低温条件下的应用潜力。污泥超越AOA反应器污染物去除路径
Fig. 2. Variations of nutrients along the sludge-bypass AOAreactor on day 113 (a), 210 (b), 248 (c), 318 (d); Variations of intracellular carbon sources on day 320 (e); Contributions of PAOs (CSPAOs) and GAOs (CSGAOs) to the intracellular carbon storage in the anaerobic zone, the ratio of PRA to CODintra (f); Contribution ratios of TIN removal in each functional zone, as well as the contributions of DEAMOX and EnD to TIN removal within the anoxic zone (g); Contribution ratios of phosphorus removal in oxic zone (PROx.) and anoxic zone (PRAno.) (h).
稳定期,缺氧区是氮磷去除热点区域,在此区域中,PRAno=52.1%,NRano.=75.0%,CDEAMOX=59.3%。结果表明,在厌氧区合成的PHAs被有效转移至缺氧区用于反硝化氮、磷的去除,而非在好氧条件下被过度矿化。通过污泥超越泥膜混合AOA系统,实现了PAOs、GAOs和DNB之间碳源的合理分配和高效利用,从而增强了氮和磷的协同去除性能。
功能微生物活性
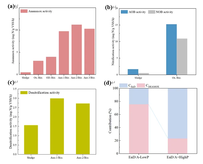
Fig. 3.Anammox activity (a), nitrification activity (b), denitrification activity (c); the endogenous denitrification performance of floc sludge under different anoxic influent PO43--P level (d). CEnD and CDEAMOXwere the corresponding contributions of DEAMOX and EnD to TIN removal.
在絮状泥中检测到反硝活性(0.5 mg N/g VSS/h)、硝化活性(AOB:1.7 mg N/g VSS/h,NOB:0.5 mg N/g VSS/h)和反硝化活性(1.6 mg N/g VSS/h)。值得注意的是,各功能区生物膜上的微生物活性均显著高于絮体污泥,证明载体不仅提供了附着位点,还优化了微生物的空间分布格局。在缺氧区,PHB/PHV的下降伴随着NH4+-N、NO3--N和PO43--P的下降,Anammox和EnDPR协同实现了氮、磷的高效去除。微生物群落结构
Fig. 5.Microbial community variation along the sludge-bypass AOA reactor on days of 213 and 317 (a); The relationship of core microbial in sludge-bypass AOA reactor by Pearson correlation analysis (b); The strength of correlation was defined by a color code with blue indicating negative correlations, white a neutral context, and red a positive correlation. Microbial composition differences in the sludge-bypass AOA system between 213 and 317 days (c); Cladogram showing the phylogenetic distribution of the bacterial lineages of before and after the reconstruction of the sludge-bypass AOA reactor (d); Indicator bacteria with LDA scores of 4 or greater in bacterial communities of the sludge-bypass AOA reactor (e).微生物群落分析揭示了核心菌群从Denitratisoma向Candidatus Accumulibacter的显著演替。Candidatus Accumulibacter的相对丰度由0.5%显著增加至2.6%,而Denitratisoma则从4.0%降至0.6%。中间沉淀池和污泥超越策略优先将有限的COD分配给PAOs,同时限制了传统DNBs的底物可得性,从而在长期运行中维持了PAOs的优势地位,实现了高效的协同脱氮除磷性能。网络共现分析

Fig. 6. Layout and taxonomic profiles of sludge-bypass AOA reactor microbial co-occurrence network on day 213 (a) and day 317 (b).通过共现网络分析发现,污泥超越泥膜混合AOA系统稳定后,微生物群落间的正相关性从52.0%增长至54.7%,表明微生物种间互养代谢增强;模块度从0.309增至0.338,表明微生物类群形成了更专业化的功能模块,代谢分工更为明确。此外,各功能区的Ace、Chao和Shannon指数均升高,表明微生物群落多样性和结构复杂性增加。结果表明,污泥超越AOA系统营造了有利的功能微生物生境,从而促进了低温、碳限制条件下系统稳定高效协同脱氮除磷效果。机理和意义
Fig. 7. Schematics of the novel continuous-flow sludge-bypass AOA reactor (a) and nutrient removal pathways in the sludge-bypass AOA reactor (b). Ox.: Oxic zone, OD.: oxygen depletion zone, An.: Anoxic zone, S.: Sedimentation tank.在污泥超越泥膜混合AOA反应器中,通过中沉过渡池将污泥与污水分离进而有效保留了大量PHAs,确保了后续缺氧区稳定高效同步脱氮除磷效率。总的来说,本研究提出的污泥超越泥膜混合AOA系统的独特设计有效提升了碳源分配与利用,最大限度地减少了碳源和能量损失,为低温、碳限制下污水处理提供了一种较传统工艺更可持续、更高效的技术路径。这项工作提出了一种新型的污泥超越泥膜混合AOA污水同步脱氮除磷系统,并在低温(15.6 ℃)和低C/N(3.8)下,实现了92.8%和90.3%的平均氮去除率和磷去除率。研究通过污染物去除路径、批次活性试验、污泥理化特性表征和微生物群落演替系统揭示了污泥超越泥膜混合AOA系统实现超高效同步脱氮除磷能力的机理。该工作为低碳、寒冷地区污水处理厂的高效稳定运行提供了一条极具潜力的技术路径。胡飞悦(第一作者):郑州大学生态与环境学院博士研究生,研究方向为污水低碳高效脱氮除磷及磷回收,以一作(含导师一作本人二作)/通讯在Water Research、Bioresource Technology、Chemical Engineering Journal等中科院一区期刊发表SCI论文4篇、获授权国家发明专利1项。吉建涛(通讯作者):教授、博士/硕士生导师,现任职于郑州大学生态与环境学院,河南省优青、中国环境科学学会减污降碳协同治理专业委员会委员,入选河南省首批“科技副总”、河南省生态环境应急专家、郑州大学优秀青年人才创新团队负责人、郑州大学青年人才企业合作创新团队负责人、郑州大学青年骨干教师,担任Journal of Water Process Engineering、Energy and Environment Nexus、EcoEnergy等期刊青年编委。研究方向主要为污水低碳高效生物脱氮除磷新工艺与资源化关键技术研发,以及新污染物控制技术研究。主持国家自然科学基金2项、河南省优秀青年科学基金1项、河南省重点研发与推广专项1项、企业横向项目4项,以第一/通讯作者在Water Research(6篇)、Environmental Science & Technology(1篇)、Chemical Engineering Journal、Bioresource Technology等国际知名期刊发表SCI论文26篇(总影响因子290.1,总被引1000+次,其中1篇为ESI高被引论文);获授权国家发明专利9项、实用新型专利1项。Permissions for reuse of all Figures have been obtained from the original publisher. Copyright 2026, Elsevier IncHu, F., Zhao, Y., Li, H., Du, J., Wu, G., Shen, B., Liu, L., Jin, B. and Ji, J. 2026. Enhancing carbon allocation and utilization via a sludge-bypass anaerobic/oxic/anoxic process for ultra-efficient nutrient removal from municipal wastewater under low C/N and temperature conditions. Water Research, 125901https://www.sciencedirect.com/science/article/abs/pii/S004313542600583X
