

各有关单位:
2026年3月份郑州市建设工程主要材料价格信息采集整理工作已完成,请各单位参考使用。
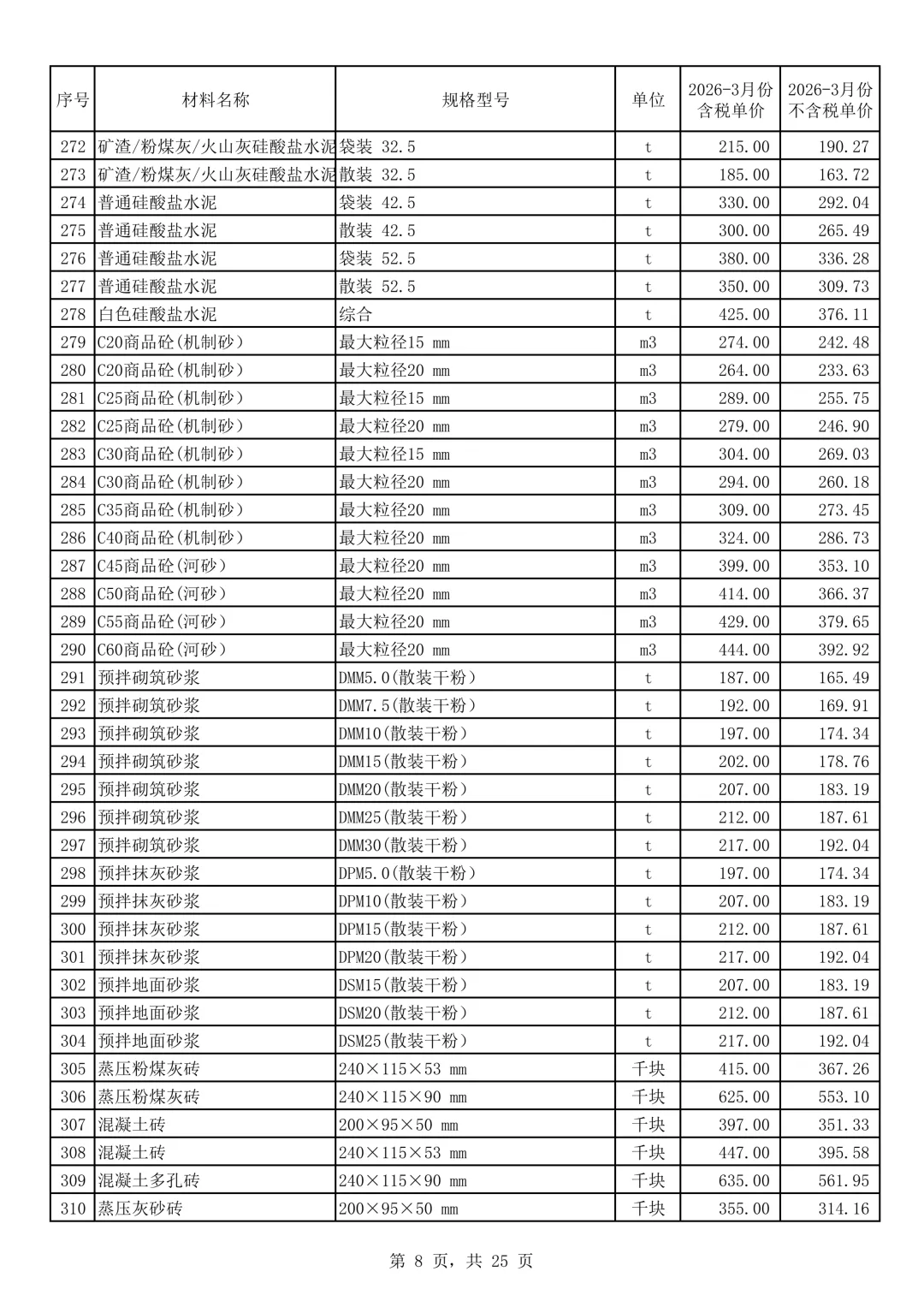
3月份,钢材价格上涨,有色金属价格下降,水泥、混凝土价格上涨。本价格信息为到工地价(郑州市区四环以内),已包含材料原价、运杂费、运输损耗和采购保管费。各类建设工程在编制工程设计概算,施工图预算,招标控制价时可参考使用本信息价。建设工程发承包双方在确定工程材料价格时,应充分预测市场风险,慎重决策。在签订合同时,应在合同中明确约定材料价格的确定和调整方法,材料价格的风险范围和幅度。
本价格信息中的商品砼价格为到工地价,不含泵送费用,郑州市商品砼增值税按照一般计税13%计取,本价格信息发布的商品砼价格C40以下(含C40),为采用机制砂搅拌的商品砼,如实际采用河砂搅拌的商品砼,经发承包双方签证认可后,3月份每立方米可增加含税单价48.95元,不含税单价43.31元。
附件:2026年3月份郑州市建设工程主要材料价格信息.pdf
2026年4月15日


























