当前位置:首页>郑州>IF10.6!!! 郑州大学附属郑州中央医院用CHARLS数据库拿下中科院一区!!!

IF10.6!!! 郑州大学附属郑州中央医院用CHARLS数据库拿下中科院一区!!!

  • 2026-04-19 11:20:44
IF10.6!!! 郑州大学附属郑州中央医院用CHARLS数据库拿下中科院一区!!!

点击蓝字 关注我们

研究亮点


  • 填补本土研究空白:首次基于中国全国代表性中老年队列,系统阐明 TyG-BMI、TyG-WC、TyG-WHtR 三项修正 TyG 指数与新发中风的前瞻性关联,为本土中风防控提供了大样本循证依据。

  • 多维度深度分析:不仅明确了指数与中风的正相关及剂量 - 反应关系,还首次对比了三项指数的预测效能,同时通过限制性三次样条揭示了不同指数的线性 / 非线性关联特征,深化了机制认知。

  • 临床与公共卫生价值突出:三项指数均基于常规体检指标计算,简便易获取、可操作性强,可直接用于中老年人群中风的早期风险筛查与分层管理,为基层慢病防控提供了实用工具。

  • 结果稳健可靠:通过多因素校正、敏感性分析、亚组分析等多重验证,确保了研究结论的一致性与可信度,为临床应用提供了坚实支撑。

引言

中风是全球重大健康威胁,胰岛素抵抗是其关键危险因素。TyG 指数作为胰岛素抵抗的便捷替代指标,其衍生的 TyG-BMI、TyG-WC、TyG-WHtR 修正指数在多种慢病中预测价值明确,但与新发中风的关联及预测效能对比仍缺乏大样本证据。本研究基于 CHARLS 队列,探讨三种修正 TyG 指数与中老年人群新发中风的前瞻性关联,并评估其预测效能,为中风防控提供依据。

如果你也想利用同款思路进行生信分析,需要生信分析,复现高分思路的同学快关注我们后台咨询吧!生信罗盘,助力每一个科研梦想!

文献解读

如果你也想进行生信分析,快联系生信罗盘,你的下一篇顶刊论文,就从这里开始啦!

生信分析找生信罗盘

创新选题/数据挖掘/方案评估

长按上方图片二维码,关注一下再走吧!!!

研究背景

中风是全球重大健康威胁,胰岛素抵抗是其核心危险因素。修正 TyG 指数(TyG-BMI、TyG-WC、TyG-WHtR)整合了胰岛素抵抗与肥胖指标,在慢病风险评估中价值明确,但与新发中风的前瞻性关联及预测效能对比,仍缺乏中国中老年人群的大样本队列证据

研究方法

本研究为前瞻性队列研究,基于中国健康与养老追踪调查(CHARLS)2011、2013、2015、2018 年四轮随访数据,最终纳入 8677 名≥45 岁的中老年参与者。

  1. 核心分析方法:采用 Cox 比例风险回归模型,分析 TyG-BMI、TyG-WC、TyG-WHtR 与新发中风的关联;

  2. 剂量 - 反应关系分析:通过限制性三次样条(RCS)模型,探究三项指数与中风风险的非线性 / 线性关联;

  3. 预测效能评估:利用受试者工作特征(ROC)曲线,计算曲线下面积(AUC),并通过 DeLong 检验对比三项指数的预测能力;

  4. 稳健性验证:通过一系列敏感性分析、亚组分析,验证研究结果的一致性与可靠性。

结果

本研究共纳入 8677 名参与者,其中男性 4031 人、女性 4646 人,中位年龄 58.0 岁(四分位距 52.00, 65.00)。TyG-BMI、TyG-WC、TyG-WHtR 均呈正态分布,均值 ± 标准差分别为 204.44±38.87、743.20±117.30、4.72±0.76。

按是否发生中风及三种修正 TyG 指数(TyG-BMI、TyG-WC、TyG-WHtR)四分位分层,呈现基线特征与中风发生率:中风患者的高血压、糖尿病患病率更高,SBP、DBP、BMI、血糖、肌酐、血脂及三项 TyG 相关指数水平均显著高于非中风者;且随三项指数四分位升高,中风发生率呈阶梯式上升。

中风发生率

研究人群总体中风发生率为 115.33/10000 人年,按 TyG-BMI、TyG-WC、TyG-WHtR 三项修正 TyG 指数四分位分层后,各组中风发生率均随指数水平升高呈阶梯式上升,其中 TyG-BMI 从 Q1 的 72.90/10000 人年升至 Q4 的 159.01/10000 人年,TyG-WC 从 65.90 升至 169.93/10000 人年,TyG-WHtR 从 67.78 升至 164.48/10000 人年。

按 TyG-BMI、TyG-WC、TyG-WHtR 三项修正 TyG 指数四分位分层,各组中风患病率均随指数水平升高呈阶梯式上升:TyG-BMI 从 Q1 的 5.81% 升至 Q4 的 12.81%,TyG-WC 从 5.35% 升至 13.50%,TyG-WHtR 从 5.49% 升至 13.05%。

TyG-BMI、TyG-WC和TyG-WHtR与中风风险的关联

为探究 TyG-BMI、TyG-WC 与 TyG-WHtR 三项修正 TyG 指数和中风风险的关联,构建了 3 种 Cox 比例风险回归模型。

多因素 Cox 回归显示,在完全调整模型中,TyG‑BMI 每升高 10 单位、TyG‑WC 每升高 10 单位、TyG‑WHtR 每升高 1 单位,中风风险分别增加 5.5%、2.0% 和 32.4%;各指数每升高 1 个 SD,中风风险均升高约 23%~25%。

四分位分析表明,中风风险随 TyG 相关指数分层逐级上升,与 Q1 相比,Q4 组 TyG‑BMI、TyG‑WC、TyG‑WHtR 对应的中风风险分别升高 86.1%、88.8% 和 83.7%。

敏感性分析

基于 2011 和 2015 年的随访数据,采用 K 均值聚类及欧氏距离将参与者分为两类:1 类三项指数持续处于低水平,2 类则长期维持高水平,两类在不同时间点的 TyG‑BMI、TyG‑WC、TyG‑WHtR 数值均存在明显差异。

多变量 Logistic 回归显示,与长期低水平的 1 类相比,三项修正 TyG 指数持续处于高水平的 2 类人群,中风风险显著更高:TyG‑BMI 升高 29.9%(OR=1.299),TyG‑WC 升高 45.1%(OR=1.451),TyG‑WHtR 升高 29.1%(OR=1.291)。

分层分析结果显示,在非糖尿病、非慢性肾病及非肥胖亚组中,经多因素校正后,三项修正 TyG 指数仍与中风风险呈显著正相关,且各指数四分位升高伴随中风风险梯度上升,剂量‑反应关系稳定,提示关联具有良好的稳健性与一致性。

采用Cox比例风险回归模型,配合限制三次样条(RCS)来解决非线性问题

基于三次样条 Cox 回归分析,TyG-BMI 与中风风险呈非线性关联(P - 非线性 < 0.05),而 TyG-WC、TyG-WHtR 均呈线性关联。经对数似然比检验与递归算法确定,TyG-BMI 拐点为 179.279。两阶段回归显示,拐点前每升高 1SD 中风风险增加 108%(HR=2.08),拐点后升高 16%(HR=1.16)。

子组分析结果

亚组分析显示,TyG‑BMI、TyG‑WC、TyG‑WHtR 与中风风险的关联,不受性别、年龄、高血压、吸烟及饮酒状况的影响。

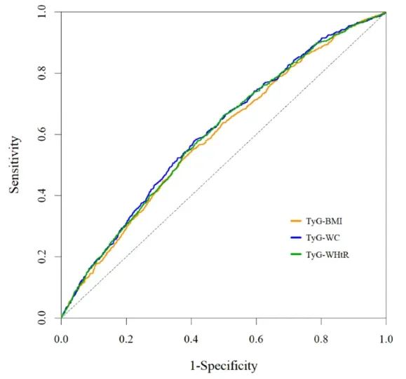
接收器工作特征曲线(ROC)

ROC 分析显示,三项指数对中风风险均有一定预测价值,AUC 分别为 0.593、0.608、0.603。经 1000 次 bootstrap 内部验证及 Delong 检验,TyG-WC 的鉴别能力略优于 TyG-BMI,其余两两间无显著差异。

文章总结

本研究证实,三项修正 TyG 指数与中国中老年人群中风风险显著正相关,可作为简便的中风风险筛查工具。通过体重、腰围管理维持指数理想水平,能有效降低中风发生风险,为中风防控提供了实用的循证依据。

零实验纯生信分析,抢发高分不要再担忧啦!需要生信分析,复现高分思路的同学,罗盘为你提供精准服务,助力你无痛获取高分思路!

生信罗盘

扫码关注罗盘

思路设计/方案评估

数据分析/文献复现

专注生信分析:

GBD/NHANES

CHARLS/MR

别忘了点

分享、

收藏、

在看、

点赞

哦!

最新文章

随机文章

基本 文件 流程 错误 SQL 调试
  1. 请求信息 : 2026-04-25 04:32:42 HTTP/2.0 GET : https://i.460.net.cn/a/518179.html
  2. 运行时间 : 0.192385s [ 吞吐率:5.20req/s ] 内存消耗:4,452.72kb 文件加载:140
  3. 缓存信息 : 0 reads,0 writes
  4. 会话信息 : SESSION_ID=803da8f1b1812fd46e413665cef0b1ba
  1. /yingpanguazai/ssd/ssd1/www/i.460.net.cn/public/index.php ( 0.79 KB )
  2. /yingpanguazai/ssd/ssd1/www/i.460.net.cn/vendor/autoload.php ( 0.17 KB )
  3. /yingpanguazai/ssd/ssd1/www/i.460.net.cn/vendor/composer/autoload_real.php ( 2.49 KB )
  4. /yingpanguazai/ssd/ssd1/www/i.460.net.cn/vendor/composer/platform_check.php ( 0.90 KB )
  5. /yingpanguazai/ssd/ssd1/www/i.460.net.cn/vendor/composer/ClassLoader.php ( 14.03 KB )
  6. /yingpanguazai/ssd/ssd1/www/i.460.net.cn/vendor/composer/autoload_static.php ( 4.90 KB )
  7. /yingpanguazai/ssd/ssd1/www/i.460.net.cn/vendor/topthink/think-helper/src/helper.php ( 8.34 KB )
  8. /yingpanguazai/ssd/ssd1/www/i.460.net.cn/vendor/topthink/think-validate/src/helper.php ( 2.19 KB )
  9. /yingpanguazai/ssd/ssd1/www/i.460.net.cn/vendor/topthink/think-orm/src/helper.php ( 1.47 KB )
  10. /yingpanguazai/ssd/ssd1/www/i.460.net.cn/vendor/topthink/think-orm/stubs/load_stubs.php ( 0.16 KB )
  11. /yingpanguazai/ssd/ssd1/www/i.460.net.cn/vendor/topthink/framework/src/think/Exception.php ( 1.69 KB )
  12. /yingpanguazai/ssd/ssd1/www/i.460.net.cn/vendor/topthink/think-container/src/Facade.php ( 2.71 KB )
  13. /yingpanguazai/ssd/ssd1/www/i.460.net.cn/vendor/symfony/deprecation-contracts/function.php ( 0.99 KB )
  14. /yingpanguazai/ssd/ssd1/www/i.460.net.cn/vendor/symfony/polyfill-mbstring/bootstrap.php ( 8.26 KB )
  15. /yingpanguazai/ssd/ssd1/www/i.460.net.cn/vendor/symfony/polyfill-mbstring/bootstrap80.php ( 9.78 KB )
  16. /yingpanguazai/ssd/ssd1/www/i.460.net.cn/vendor/symfony/var-dumper/Resources/functions/dump.php ( 1.49 KB )
  17. /yingpanguazai/ssd/ssd1/www/i.460.net.cn/vendor/topthink/think-dumper/src/helper.php ( 0.18 KB )
  18. /yingpanguazai/ssd/ssd1/www/i.460.net.cn/vendor/symfony/var-dumper/VarDumper.php ( 4.30 KB )
  19. /yingpanguazai/ssd/ssd1/www/i.460.net.cn/vendor/topthink/framework/src/think/App.php ( 15.30 KB )
  20. /yingpanguazai/ssd/ssd1/www/i.460.net.cn/vendor/topthink/think-container/src/Container.php ( 15.76 KB )
  21. /yingpanguazai/ssd/ssd1/www/i.460.net.cn/vendor/psr/container/src/ContainerInterface.php ( 1.02 KB )
  22. /yingpanguazai/ssd/ssd1/www/i.460.net.cn/app/provider.php ( 0.19 KB )
  23. /yingpanguazai/ssd/ssd1/www/i.460.net.cn/vendor/topthink/framework/src/think/Http.php ( 6.04 KB )
  24. /yingpanguazai/ssd/ssd1/www/i.460.net.cn/vendor/topthink/think-helper/src/helper/Str.php ( 7.29 KB )
  25. /yingpanguazai/ssd/ssd1/www/i.460.net.cn/vendor/topthink/framework/src/think/Env.php ( 4.68 KB )
  26. /yingpanguazai/ssd/ssd1/www/i.460.net.cn/app/common.php ( 0.03 KB )
  27. /yingpanguazai/ssd/ssd1/www/i.460.net.cn/vendor/topthink/framework/src/helper.php ( 18.78 KB )
  28. /yingpanguazai/ssd/ssd1/www/i.460.net.cn/vendor/topthink/framework/src/think/Config.php ( 5.54 KB )
  29. /yingpanguazai/ssd/ssd1/www/i.460.net.cn/config/app.php ( 0.95 KB )
  30. /yingpanguazai/ssd/ssd1/www/i.460.net.cn/config/cache.php ( 0.78 KB )
  31. /yingpanguazai/ssd/ssd1/www/i.460.net.cn/config/console.php ( 0.23 KB )
  32. /yingpanguazai/ssd/ssd1/www/i.460.net.cn/config/cookie.php ( 0.56 KB )
  33. /yingpanguazai/ssd/ssd1/www/i.460.net.cn/config/database.php ( 2.47 KB )
  34. /yingpanguazai/ssd/ssd1/www/i.460.net.cn/vendor/topthink/framework/src/think/facade/Env.php ( 1.67 KB )
  35. /yingpanguazai/ssd/ssd1/www/i.460.net.cn/config/filesystem.php ( 0.61 KB )
  36. /yingpanguazai/ssd/ssd1/www/i.460.net.cn/config/lang.php ( 0.91 KB )
  37. /yingpanguazai/ssd/ssd1/www/i.460.net.cn/config/log.php ( 1.35 KB )
  38. /yingpanguazai/ssd/ssd1/www/i.460.net.cn/config/middleware.php ( 0.19 KB )
  39. /yingpanguazai/ssd/ssd1/www/i.460.net.cn/config/route.php ( 1.89 KB )
  40. /yingpanguazai/ssd/ssd1/www/i.460.net.cn/config/session.php ( 0.57 KB )
  41. /yingpanguazai/ssd/ssd1/www/i.460.net.cn/config/trace.php ( 0.34 KB )
  42. /yingpanguazai/ssd/ssd1/www/i.460.net.cn/config/view.php ( 0.82 KB )
  43. /yingpanguazai/ssd/ssd1/www/i.460.net.cn/app/event.php ( 0.25 KB )
  44. /yingpanguazai/ssd/ssd1/www/i.460.net.cn/vendor/topthink/framework/src/think/Event.php ( 7.67 KB )
  45. /yingpanguazai/ssd/ssd1/www/i.460.net.cn/app/service.php ( 0.13 KB )
  46. /yingpanguazai/ssd/ssd1/www/i.460.net.cn/app/AppService.php ( 0.26 KB )
  47. /yingpanguazai/ssd/ssd1/www/i.460.net.cn/vendor/topthink/framework/src/think/Service.php ( 1.64 KB )
  48. /yingpanguazai/ssd/ssd1/www/i.460.net.cn/vendor/topthink/framework/src/think/Lang.php ( 7.35 KB )
  49. /yingpanguazai/ssd/ssd1/www/i.460.net.cn/vendor/topthink/framework/src/lang/zh-cn.php ( 13.70 KB )
  50. /yingpanguazai/ssd/ssd1/www/i.460.net.cn/vendor/topthink/framework/src/think/initializer/Error.php ( 3.31 KB )
  51. /yingpanguazai/ssd/ssd1/www/i.460.net.cn/vendor/topthink/framework/src/think/initializer/RegisterService.php ( 1.33 KB )
  52. /yingpanguazai/ssd/ssd1/www/i.460.net.cn/vendor/services.php ( 0.14 KB )
  53. /yingpanguazai/ssd/ssd1/www/i.460.net.cn/vendor/topthink/framework/src/think/service/PaginatorService.php ( 1.52 KB )
  54. /yingpanguazai/ssd/ssd1/www/i.460.net.cn/vendor/topthink/framework/src/think/service/ValidateService.php ( 0.99 KB )
  55. /yingpanguazai/ssd/ssd1/www/i.460.net.cn/vendor/topthink/framework/src/think/service/ModelService.php ( 2.04 KB )
  56. /yingpanguazai/ssd/ssd1/www/i.460.net.cn/vendor/topthink/think-trace/src/Service.php ( 0.77 KB )
  57. /yingpanguazai/ssd/ssd1/www/i.460.net.cn/vendor/topthink/framework/src/think/Middleware.php ( 6.72 KB )
  58. /yingpanguazai/ssd/ssd1/www/i.460.net.cn/vendor/topthink/framework/src/think/initializer/BootService.php ( 0.77 KB )
  59. /yingpanguazai/ssd/ssd1/www/i.460.net.cn/vendor/topthink/think-orm/src/Paginator.php ( 11.86 KB )
  60. /yingpanguazai/ssd/ssd1/www/i.460.net.cn/vendor/topthink/think-validate/src/Validate.php ( 63.20 KB )
  61. /yingpanguazai/ssd/ssd1/www/i.460.net.cn/vendor/topthink/think-orm/src/Model.php ( 23.55 KB )
  62. /yingpanguazai/ssd/ssd1/www/i.460.net.cn/vendor/topthink/think-orm/src/model/concern/Attribute.php ( 21.05 KB )
  63. /yingpanguazai/ssd/ssd1/www/i.460.net.cn/vendor/topthink/think-orm/src/model/concern/AutoWriteData.php ( 4.21 KB )
  64. /yingpanguazai/ssd/ssd1/www/i.460.net.cn/vendor/topthink/think-orm/src/model/concern/Conversion.php ( 6.44 KB )
  65. /yingpanguazai/ssd/ssd1/www/i.460.net.cn/vendor/topthink/think-orm/src/model/concern/DbConnect.php ( 5.16 KB )
  66. /yingpanguazai/ssd/ssd1/www/i.460.net.cn/vendor/topthink/think-orm/src/model/concern/ModelEvent.php ( 2.33 KB )
  67. /yingpanguazai/ssd/ssd1/www/i.460.net.cn/vendor/topthink/think-orm/src/model/concern/RelationShip.php ( 28.29 KB )
  68. /yingpanguazai/ssd/ssd1/www/i.460.net.cn/vendor/topthink/think-helper/src/contract/Arrayable.php ( 0.09 KB )
  69. /yingpanguazai/ssd/ssd1/www/i.460.net.cn/vendor/topthink/think-helper/src/contract/Jsonable.php ( 0.13 KB )
  70. /yingpanguazai/ssd/ssd1/www/i.460.net.cn/vendor/topthink/think-orm/src/model/contract/Modelable.php ( 0.09 KB )
  71. /yingpanguazai/ssd/ssd1/www/i.460.net.cn/vendor/topthink/framework/src/think/Db.php ( 2.88 KB )
  72. /yingpanguazai/ssd/ssd1/www/i.460.net.cn/vendor/topthink/think-orm/src/DbManager.php ( 8.52 KB )
  73. /yingpanguazai/ssd/ssd1/www/i.460.net.cn/vendor/topthink/framework/src/think/Log.php ( 6.28 KB )
  74. /yingpanguazai/ssd/ssd1/www/i.460.net.cn/vendor/topthink/framework/src/think/Manager.php ( 3.92 KB )
  75. /yingpanguazai/ssd/ssd1/www/i.460.net.cn/vendor/psr/log/src/LoggerTrait.php ( 2.69 KB )
  76. /yingpanguazai/ssd/ssd1/www/i.460.net.cn/vendor/psr/log/src/LoggerInterface.php ( 2.71 KB )
  77. /yingpanguazai/ssd/ssd1/www/i.460.net.cn/vendor/topthink/framework/src/think/Cache.php ( 4.92 KB )
  78. /yingpanguazai/ssd/ssd1/www/i.460.net.cn/vendor/psr/simple-cache/src/CacheInterface.php ( 4.71 KB )
  79. /yingpanguazai/ssd/ssd1/www/i.460.net.cn/vendor/topthink/think-helper/src/helper/Arr.php ( 16.63 KB )
  80. /yingpanguazai/ssd/ssd1/www/i.460.net.cn/vendor/topthink/framework/src/think/cache/driver/File.php ( 7.84 KB )
  81. /yingpanguazai/ssd/ssd1/www/i.460.net.cn/vendor/topthink/framework/src/think/cache/Driver.php ( 9.03 KB )
  82. /yingpanguazai/ssd/ssd1/www/i.460.net.cn/vendor/topthink/framework/src/think/contract/CacheHandlerInterface.php ( 1.99 KB )
  83. /yingpanguazai/ssd/ssd1/www/i.460.net.cn/app/Request.php ( 0.09 KB )
  84. /yingpanguazai/ssd/ssd1/www/i.460.net.cn/vendor/topthink/framework/src/think/Request.php ( 55.78 KB )
  85. /yingpanguazai/ssd/ssd1/www/i.460.net.cn/app/middleware.php ( 0.25 KB )
  86. /yingpanguazai/ssd/ssd1/www/i.460.net.cn/vendor/topthink/framework/src/think/Pipeline.php ( 2.61 KB )
  87. /yingpanguazai/ssd/ssd1/www/i.460.net.cn/vendor/topthink/think-trace/src/TraceDebug.php ( 3.40 KB )
  88. /yingpanguazai/ssd/ssd1/www/i.460.net.cn/vendor/topthink/framework/src/think/middleware/SessionInit.php ( 1.94 KB )
  89. /yingpanguazai/ssd/ssd1/www/i.460.net.cn/vendor/topthink/framework/src/think/Session.php ( 1.80 KB )
  90. /yingpanguazai/ssd/ssd1/www/i.460.net.cn/vendor/topthink/framework/src/think/session/driver/File.php ( 6.27 KB )
  91. /yingpanguazai/ssd/ssd1/www/i.460.net.cn/vendor/topthink/framework/src/think/contract/SessionHandlerInterface.php ( 0.87 KB )
  92. /yingpanguazai/ssd/ssd1/www/i.460.net.cn/vendor/topthink/framework/src/think/session/Store.php ( 7.12 KB )
  93. /yingpanguazai/ssd/ssd1/www/i.460.net.cn/vendor/topthink/framework/src/think/Route.php ( 23.73 KB )
  94. /yingpanguazai/ssd/ssd1/www/i.460.net.cn/vendor/topthink/framework/src/think/route/RuleName.php ( 5.75 KB )
  95. /yingpanguazai/ssd/ssd1/www/i.460.net.cn/vendor/topthink/framework/src/think/route/Domain.php ( 2.53 KB )
  96. /yingpanguazai/ssd/ssd1/www/i.460.net.cn/vendor/topthink/framework/src/think/route/RuleGroup.php ( 22.43 KB )
  97. /yingpanguazai/ssd/ssd1/www/i.460.net.cn/vendor/topthink/framework/src/think/route/Rule.php ( 26.95 KB )
  98. /yingpanguazai/ssd/ssd1/www/i.460.net.cn/vendor/topthink/framework/src/think/route/RuleItem.php ( 9.78 KB )
  99. /yingpanguazai/ssd/ssd1/www/i.460.net.cn/route/app.php ( 1.72 KB )
  100. /yingpanguazai/ssd/ssd1/www/i.460.net.cn/vendor/topthink/framework/src/think/facade/Route.php ( 4.70 KB )
  101. /yingpanguazai/ssd/ssd1/www/i.460.net.cn/vendor/topthink/framework/src/think/route/dispatch/Controller.php ( 4.74 KB )
  102. /yingpanguazai/ssd/ssd1/www/i.460.net.cn/vendor/topthink/framework/src/think/route/Dispatch.php ( 10.44 KB )
  103. /yingpanguazai/ssd/ssd1/www/i.460.net.cn/app/controller/Index.php ( 4.81 KB )
  104. /yingpanguazai/ssd/ssd1/www/i.460.net.cn/app/BaseController.php ( 2.05 KB )
  105. /yingpanguazai/ssd/ssd1/www/i.460.net.cn/vendor/topthink/think-orm/src/facade/Db.php ( 0.93 KB )
  106. /yingpanguazai/ssd/ssd1/www/i.460.net.cn/vendor/topthink/think-orm/src/db/connector/Mysql.php ( 5.44 KB )
  107. /yingpanguazai/ssd/ssd1/www/i.460.net.cn/vendor/topthink/think-orm/src/db/PDOConnection.php ( 52.47 KB )
  108. /yingpanguazai/ssd/ssd1/www/i.460.net.cn/vendor/topthink/think-orm/src/db/Connection.php ( 8.39 KB )
  109. /yingpanguazai/ssd/ssd1/www/i.460.net.cn/vendor/topthink/think-orm/src/db/ConnectionInterface.php ( 4.57 KB )
  110. /yingpanguazai/ssd/ssd1/www/i.460.net.cn/vendor/topthink/think-orm/src/db/builder/Mysql.php ( 16.58 KB )
  111. /yingpanguazai/ssd/ssd1/www/i.460.net.cn/vendor/topthink/think-orm/src/db/Builder.php ( 24.06 KB )
  112. /yingpanguazai/ssd/ssd1/www/i.460.net.cn/vendor/topthink/think-orm/src/db/BaseBuilder.php ( 27.50 KB )
  113. /yingpanguazai/ssd/ssd1/www/i.460.net.cn/vendor/topthink/think-orm/src/db/Query.php ( 15.71 KB )
  114. /yingpanguazai/ssd/ssd1/www/i.460.net.cn/vendor/topthink/think-orm/src/db/BaseQuery.php ( 45.13 KB )
  115. /yingpanguazai/ssd/ssd1/www/i.460.net.cn/vendor/topthink/think-orm/src/db/concern/TimeFieldQuery.php ( 7.43 KB )
  116. /yingpanguazai/ssd/ssd1/www/i.460.net.cn/vendor/topthink/think-orm/src/db/concern/AggregateQuery.php ( 3.26 KB )
  117. /yingpanguazai/ssd/ssd1/www/i.460.net.cn/vendor/topthink/think-orm/src/db/concern/ModelRelationQuery.php ( 20.07 KB )
  118. /yingpanguazai/ssd/ssd1/www/i.460.net.cn/vendor/topthink/think-orm/src/db/concern/ParamsBind.php ( 3.66 KB )
  119. /yingpanguazai/ssd/ssd1/www/i.460.net.cn/vendor/topthink/think-orm/src/db/concern/ResultOperation.php ( 7.01 KB )
  120. /yingpanguazai/ssd/ssd1/www/i.460.net.cn/vendor/topthink/think-orm/src/db/concern/WhereQuery.php ( 19.37 KB )
  121. /yingpanguazai/ssd/ssd1/www/i.460.net.cn/vendor/topthink/think-orm/src/db/concern/JoinAndViewQuery.php ( 7.11 KB )
  122. /yingpanguazai/ssd/ssd1/www/i.460.net.cn/vendor/topthink/think-orm/src/db/concern/TableFieldInfo.php ( 2.63 KB )
  123. /yingpanguazai/ssd/ssd1/www/i.460.net.cn/vendor/topthink/think-orm/src/db/concern/Transaction.php ( 2.77 KB )
  124. /yingpanguazai/ssd/ssd1/www/i.460.net.cn/vendor/topthink/framework/src/think/log/driver/File.php ( 5.96 KB )
  125. /yingpanguazai/ssd/ssd1/www/i.460.net.cn/vendor/topthink/framework/src/think/contract/LogHandlerInterface.php ( 0.86 KB )
  126. /yingpanguazai/ssd/ssd1/www/i.460.net.cn/vendor/topthink/framework/src/think/log/Channel.php ( 3.89 KB )
  127. /yingpanguazai/ssd/ssd1/www/i.460.net.cn/vendor/topthink/framework/src/think/event/LogRecord.php ( 1.02 KB )
  128. /yingpanguazai/ssd/ssd1/www/i.460.net.cn/vendor/topthink/think-helper/src/Collection.php ( 16.47 KB )
  129. /yingpanguazai/ssd/ssd1/www/i.460.net.cn/vendor/topthink/framework/src/think/facade/View.php ( 1.70 KB )
  130. /yingpanguazai/ssd/ssd1/www/i.460.net.cn/vendor/topthink/framework/src/think/View.php ( 4.39 KB )
  131. /yingpanguazai/ssd/ssd1/www/i.460.net.cn/vendor/topthink/framework/src/think/Response.php ( 8.81 KB )
  132. /yingpanguazai/ssd/ssd1/www/i.460.net.cn/vendor/topthink/framework/src/think/response/View.php ( 3.29 KB )
  133. /yingpanguazai/ssd/ssd1/www/i.460.net.cn/vendor/topthink/framework/src/think/Cookie.php ( 6.06 KB )
  134. /yingpanguazai/ssd/ssd1/www/i.460.net.cn/vendor/topthink/think-view/src/Think.php ( 8.38 KB )
  135. /yingpanguazai/ssd/ssd1/www/i.460.net.cn/vendor/topthink/framework/src/think/contract/TemplateHandlerInterface.php ( 1.60 KB )
  136. /yingpanguazai/ssd/ssd1/www/i.460.net.cn/vendor/topthink/think-template/src/Template.php ( 46.61 KB )
  137. /yingpanguazai/ssd/ssd1/www/i.460.net.cn/vendor/topthink/think-template/src/template/driver/File.php ( 2.41 KB )
  138. /yingpanguazai/ssd/ssd1/www/i.460.net.cn/vendor/topthink/think-template/src/template/contract/DriverInterface.php ( 0.86 KB )
  139. /yingpanguazai/ssd/ssd1/www/i.460.net.cn/runtime/temp/ea612fc1da910b74827694dd9af81119.php ( 11.98 KB )
  140. /yingpanguazai/ssd/ssd1/www/i.460.net.cn/vendor/topthink/think-trace/src/Html.php ( 4.42 KB )
  1. CONNECT:[ UseTime:0.001153s ] mysql:host=127.0.0.1;port=3306;dbname=i460;charset=utf8mb4
  2. SHOW FULL COLUMNS FROM `fenlei` [ RunTime:0.001793s ]
  3. SELECT * FROM `fenlei` WHERE `fid` = 0 [ RunTime:0.000742s ]
  4. SELECT * FROM `fenlei` WHERE `fid` = 63 [ RunTime:0.000788s ]
  5. SHOW FULL COLUMNS FROM `set` [ RunTime:0.001698s ]
  6. SELECT * FROM `set` [ RunTime:0.000624s ]
  7. SHOW FULL COLUMNS FROM `article` [ RunTime:0.002338s ]
  8. SELECT * FROM `article` WHERE `id` = 518179 LIMIT 1 [ RunTime:0.001052s ]
  9. UPDATE `article` SET `lasttime` = 1777062763 WHERE `id` = 518179 [ RunTime:0.002828s ]
  10. SELECT * FROM `fenlei` WHERE `id` = 64 LIMIT 1 [ RunTime:0.000730s ]
  11. SELECT * FROM `article` WHERE `id` < 518179 ORDER BY `id` DESC LIMIT 1 [ RunTime:0.001508s ]
  12. SELECT * FROM `article` WHERE `id` > 518179 ORDER BY `id` ASC LIMIT 1 [ RunTime:0.001650s ]
  13. SELECT * FROM `article` WHERE `id` < 518179 ORDER BY `id` DESC LIMIT 10 [ RunTime:0.003896s ]
  14. SELECT * FROM `article` WHERE `id` < 518179 ORDER BY `id` DESC LIMIT 10,10 [ RunTime:0.001688s ]
  15. SELECT * FROM `article` WHERE `id` < 518179 ORDER BY `id` DESC LIMIT 20,10 [ RunTime:0.002365s ]
0.196448s