郑州大学马若男副教授|关攀锋副研究员团队发现冷等离子体耦合低剂量氧化锌纳米颗粒食品净化新型杀菌机制:活性物质协同生成与锌离子释放

论文摘要
氧化锌纳米颗粒(ZnO NPs)作为一种新型环保食品杀菌材料已崭露头角,但高浓度使用时会表现出生物毒性。为解决这一问题,本研究提出将大气压冷等离子体(CAP)与亲水性氧化锌(H-ZnO) NPs 耦合的双重杀菌策略用于食品净化,以降低 ZnO NPs 的潜在风险,并探究了不同浓度(0.001、0.01、0.1 g/L)H-ZnO NPs 与 CAP 的协同杀菌效果及机制。结果表明,该联合处理可有效灭活蓝莓表面的革兰氏阴性菌(大肠杆菌、肠炎沙门氏菌)和革兰氏阳性菌(单核细胞增生李斯特菌、金黄色葡萄球菌)。其中,CAP+0.01 g/L H-ZnO NPs 的协同杀菌效果最为显著,四种菌株的杀菌对数减少值均至少提升 0.5 log。CAP 与 0.01 g/L H-ZnO NPs 联合处理可促进溶液中活性氧氮物种(RONS)的生成及 H-ZnO NPs 释放锌离子(Zn²⁺);同时,释放的 Zn²⁺进入细胞内,使胞内活性氧(ROS)水平提升 670%,进而增强细菌灭活效果。低浓度 H-ZnO NPs(0.001 g/L)无法有效引起细胞膜电位去极化,导致耦合杀菌效果不佳;高浓度 H-ZnO NPs(0.1 g/L)会吸附于金黄色葡萄球菌表面,阻碍 CAP 与细菌的相互作用,其协同杀菌效率最差。本研究提出的 CAP/ZnO 协同策略为传统净化方法提供了一种可规模化、低化学残留的替代方案,有望解决食品加工中的新兴挑战。
研究背景
抗生素耐药菌的快速蔓延及食源性细菌污染引发的疾病,对人类健康构成严重威胁,开发新型食品净化技术以保障食品安全与营养已成为迫切需求。氧化锌纳米颗粒(ZnO NPs)作为广谱抗菌光催化剂,具有成本低、制备简便、光催化活性高等优势,且已被美国食品药品监督管理局认定为公认安全(GRAS)物质,在食品杀菌领域展现出良好应用前景。然而,高浓度 ZnO NPs 易造成水体污染,对水生生态系统和公共健康存在潜在毒性风险,因此控制其使用浓度并探究低浓度下的杀菌效果至关重要。大气压冷等离子体(CAP)作为一种新兴的非热杀菌技术,可通过产生活性氧氮物种(RONS)诱导微生物氧化损伤,已在食品净化中得到广泛关注。尽管 CAP 与光催化剂均具有良好杀菌效果,且二者耦合在有机污染物降解中已展现出协同作用,但在食品杀菌领域,低浓度 ZnO NPs 与 CAP 的协同效应及机制尚未明确,尤其是针对革兰氏阳性菌(如金黄色葡萄球菌)这类因细胞壁结构差异更难被灭活的细菌,相关研究仍有待深入。基于此,本研究以亲水性 ZnO NPs 为对象,构建 CAP 与低浓度 H-ZnO NPs 的耦合杀菌体系,系统探究其协同杀菌机制,旨在为开发高效、低毒、环保的食品净化技术提供理论支撑与实践方案。
图文赏析 
图 1
冷等离子体(CAP)装置及实验设计示意图
(实验对象包括悬浮态金黄色葡萄球菌和接种四种细菌的蓝莓;处理方式分为单独 H-ZnO NPs 杀菌、单独 CAP 杀菌及 H-ZnO NPs 与 CAP 联合杀菌)。
图 2
冷等离子体(CAP)的放电特性与活性物种光谱
(a)CAP 的放电电压和电流;(b)CAP 在空气中的光学发射光谱。
图 3
亲水性氧化锌纳米颗粒(H-ZnO NPs)的特性表征
(a)X 射线衍射(XRD)图谱;(b)紫外 - 可见吸收光谱;(c)光致发光(PL)光谱;(d)透射电镜(TEM)图像;(e)粒径分布;(f)傅里叶变换红外光谱(FTIR);(g)H-ZnO NPs 溶液在日光和紫外光下的照片;(h)金黄色葡萄球菌与 H-ZnO NPs 的 zeta 电位。
图 4
H-ZnO NPs 与 CAP 对金黄色葡萄球菌的协同杀菌效果
(a)H-ZnO NPs 和 CAP 处理后金黄色葡萄球菌的存活率;(b)H-ZnO NPs 与 CAP 联合杀菌的联合指数(CI)(0.001、0.01、0.1 分别代表 0.001、0.01、0.1 g/L H-ZnO NPs 单独处理;Plasma 代表 CAP 单独处理;0.001+P、0.01+P、0.1+P 分别代表对应浓度 H-ZnO NPs 与 CAP 联合处理)。
图 5
CAP 处理后 H-ZnO NPs 溶液的 pH 和氧化还原电位(ORP)
(0、0.001、0.01、0.1 分别代表 0、0.001、0.01、0.1 g/L H-ZnO NPs 溶液)。
图 6
CAP 处理后 H-ZnO NPs 溶液中活性氧氮物种(RONS)浓度
(a)・OH 浓度;(b)过氧化氢(H₂O₂)浓度;(c)亚硝酸根(NO₂⁻)浓度;(d)硝酸根(NO₃⁻)浓度(0、0.001、0.01、0.1 分别代表 0、0.001、0.01、0.1 g/L H-ZnO NPs 溶液,处理时间为 0、5、10 min)。
图 7
金黄色葡萄球菌的细胞膜电位分析
(门控 P2(红色四边形)代表完全去极化,以阳性对照(+CCCP)为参照;ZnO-5、ZnO-10 分别代表 H-ZnO NPs 单独处理 5、10 min;ZnO+P-5、ZnO+P-10 分别代表 H-ZnO NPs 与 CAP 联合处理 5、10 min)。
图 8
流式细胞术(FCM)分析金黄色葡萄球菌的凋亡与坏死
(Q1:坏死细胞;Q2:晚期凋亡 / 坏死细胞;Q3:早期凋亡细胞;Q4:活细胞;ZnO-10 代表 H-ZnO NPs 单独处理 10 min;ZnO+P-5、ZnO+P-10 分别代表 H-ZnO NPs 与 CAP 联合处理 5、10 min)。
图 9
CAP 与 H-ZnO NPs 处理后金黄色葡萄球菌的形态变化
(a)透射电镜(TEM)图像;(b)扫描电镜(SEM)图像(蓝色曲线:细胞皱缩;红色曲线:细胞破裂;黄色曲线:细胞表面胞内物质泄漏)。
图 10
0.01 g/L 和 0.1 g/L H-ZnO NPs 与 CAP 处理后金黄色葡萄球菌的 TEM 和激光共聚焦显微镜(CLSM)图像
(a)(b)0.01 g/L H-ZnO NPs 处理相关图像(CK:对照组;ZnO-10:H-ZnO NPs 单独处理 10 min;ZnO+P-5、ZnO+P-10:H-ZnO NPs 与 CAP 联合处理 5、10 min);(c)(d)0.1 g/L H-ZnO NPs 处理相关图像。
图 11
金黄色葡萄球菌的胞内活性氧(ROS)水平
(ZnO-5、ZnO-10 分别代表 H-ZnO NPs 单独处理 5、10 min;ZnO+P-5、ZnO+P-10 分别代表 H-ZnO NPs 与 CAP 联合处理 5、10 min;FITC-A:ROS 信号)。
图 12
CAP 与 0.01 g/L H-ZnO NPs 联合处理后金黄色葡萄球菌的胞内与胞外锌离子(Zn²⁺)浓度
(阳性对照:0.01 g/L H-ZnO NPs 溶液经 10 min CAP 处理后的 Zn²⁺浓度;阴性对照:金黄色葡萄球菌胞内固有 Zn²⁺浓度)。
图 13
CAP 与 H-ZnO NPs 对金黄色葡萄球菌的协同杀菌机制示意图
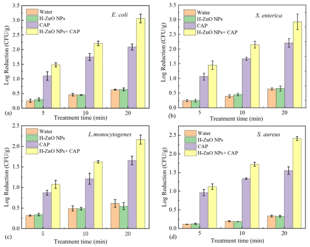
图 14
H-ZnO NPs、CAP 及联合处理对蓝莓表面接种致病菌的灭活效果
(a)大肠杆菌;(b)肠炎沙门氏菌;(c)单核细胞增生李斯特菌;(d)金黄色葡萄球菌(处理方式包括 0.01 g/L H-ZnO NPs 处理、CAP 处理及二者联合处理)。
研究结论
本研究深入探究了大气压冷等离子体(CAP)与亲水性氧化锌纳米颗粒(H-ZnO NPs)对金黄色葡萄球菌的协同杀菌效果及机制。在测试的三种 H-ZnO NPs 浓度(0.001、0.01、0.1 g/L)中,CAP 与 0.01 g/L H-ZnO NPs 的组合展现出最佳协同杀菌效果。CAP 与 H-ZnO NPs 联合处理可促进溶液中活性氧氮物种(RONS)的生成及 Zn²⁺的释放。除 H-ZnO NPs 诱导的细胞膜电位去极化外,在 CAP 破坏细胞膜完整性、提高膜通透性的辅助下,H-ZnO NPs 释放的 Zn²⁺进入细胞内,显著提升胞内 ROS 水平,进而增强对金黄色葡萄球菌的灭活效果。本研究拓展了 CAP 与光催化剂协同杀菌机制的相关认知,为推动 CAP 与 H-ZnO NPs 组合策略在食品净化中的应用提供了理论支撑,有望成为传统食品净化方法的高效替代方案。马若男:郑州大学农业与生物制造学院副教授。研究领域:等离子体及其活化水杀菌效应Ÿ 等离子体及其活化水降解真菌毒素Ÿ 等离子体活化水在果蔬保鲜及作物病害防治应用Ÿ 等离子体及其活化水对植物种子、幼苗的刺激效应Ÿ 等离子体及其活化水在牙齿美白及牙周炎治疗应用。关攀锋:郑州大学农业与生物制造学院直聘副研究。研究兴趣、领域:主要关注并研究小麦重要驯化性状、产量和品质等农艺性状的分子遗传基础;小麦优良等位基因的发掘与分子设计育种。 本研究得到国家自然科学基金(项目编号:12505289)、河南省研究生教育改革与质量提升项目(项目编号:YJS2025AL20) 及中原科技创新青年领军人才项目的联合资助。https://doi.org/10.1016/j.fm.2025.105032
标注 “原创” 仅表明为原创编译,本平台不主张对原文享有版权。
本平台转载内容仅出于学术交流与信息传播之目的,并不代表本平台观点,亦不意味着证实内容的真实性。
转载文章的版权归原作者所有,若原作者不希望作品被转载或存在侵权行为,请联系本平台删除。
由于编译水平有限,推文或简历中若有不妥之处,我们深表歉意,请联系本平台进行修改或删除。