
01
研究背景
热膨胀是材料的固有物理属性,在集成电路、精密光学和航空航天等高精度领域中往往会限制器件的稳定性和使用寿命。零热膨胀材料可在较宽温区内保持尺寸稳定,但单相材料中实现零热膨胀仍具有挑战性。近年来,高熵材料因其显著的晶格畸变效应,为调控材料热膨胀行为提供了新的设计思路。
近日,郑州大学高其龙负热膨胀团队将高熵设计策略引入 NZP 型钼酸盐体系,成功合成了高熵氧化物 KMnSc₀.₂₅In₀.₂₅Lu₀.₂₅Yb₀.₂₅(MoO₄)₃,并系统研究了其晶体结构、热膨胀行为及相关物性。
02
研究亮点
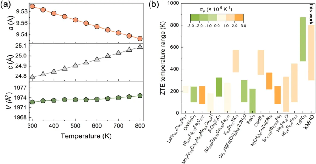
高熵钼酸盐在 300–800 K 范围内表现出体积零热膨胀特性。
材料沿 a(b) 轴负热膨胀与 c 轴正热膨胀实现有效补偿。
多面体转动机制是零热膨胀行为的关键结构因素。
材料同时表现出半导体特性和良好的离子传导性能。
03
前景展望
该研究展示了高熵设计在调控 NZP 型框架材料热膨胀行为中的有效性,为构筑宽温区零热膨胀材料提供了新的结构设计思路。同时,该材料兼具半导体与离子导电特性,拓展了高熵氧化物在多功能材料领域中的研究和应用潜力。
04
研究图解

图1 KMHO 的 Rietveld 精修结果及晶体结构示意图,显示其为典型 NZP 型框架结构。

图2 KMHO 在 300–800 K 范围内的晶格参数和体积变化,直观展示其零热膨胀行为。

图3 高压拉曼光谱结果,揭示与多面体转动相关的声子模对负热膨胀的贡献。
05
论文信息

Zero thermal expansion in high-entropy molybdate
Xin Chen, Hao Li, Qingjie Wang, Kaiyue Zhao, Gongshen He, Yongqiang Qiao, Qilong Gao, Shogo Kawaguchi, Bingbing Fan, Rui Zhang and Jun Chen
Inorg. Chem. Front., 2026, Advance Article
https://doi.org/10.1039/D5QI02346G
*本文部分内容由AI工具辅助生成,已由作者审核确认。
点击“阅读原文”直达上述文章
06
通讯作者简介

高其龙
郑州大学
高其龙,郑州大学学科特聘教授,博士生导师,河南省杰青。目前主持国家自然科学基金三项,省部级基金四项。近 5 年发表 SCI 论文 60 篇,其中以第一/通讯作者身份在 J. Am. Chem. Soc.、Angew. Chem. Int. Ed.、Nat. Commun.、Acta Mater.、Chem. Sci. 等期刊发表 43 篇。申请国家发明专利 11 项、授权 7 项。多次受邀在相关国际/国内大会上做邀请报告。
推荐阅读
安徽大学金山&朱满洲/邵阳学院熊琳团队 | 核壳型 Cu₄₅ 氢化物纳米簇的构筑与催化硼氢化

兰州理工大学肖明军团队综述|SnS₂ 基纳米材料在钠离子电池负极的研究进展 (结构设计与性能提升)


微信改版,公众号文章不再以时间轴排列啦!
将Frontiers Journals设为星标⭐ 不错过更多精彩内容!
喜欢今天的内容?
👇 就来分享、点赞、在看三连吧 👇