专注郑大考研辅导20年
优秀研究生团队200多人
年辅导郑大研友超10000人
累计帮助50000+考生圆梦郑大
郑州大学复试资料
电话和微信:13633846090
郑大2026考研复试总群
QQ群号:1007389262
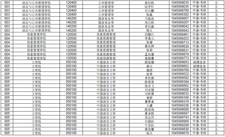
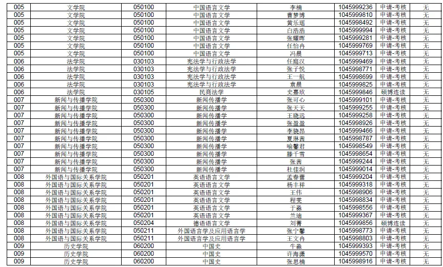
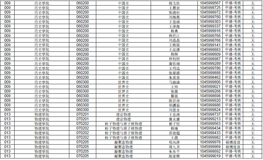
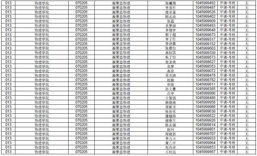
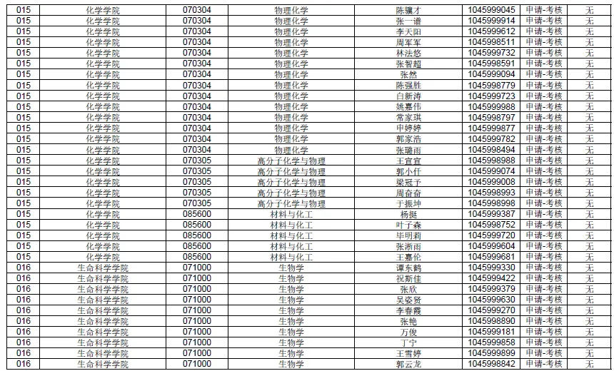
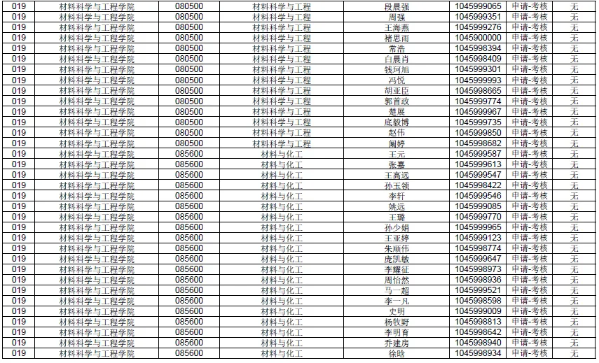
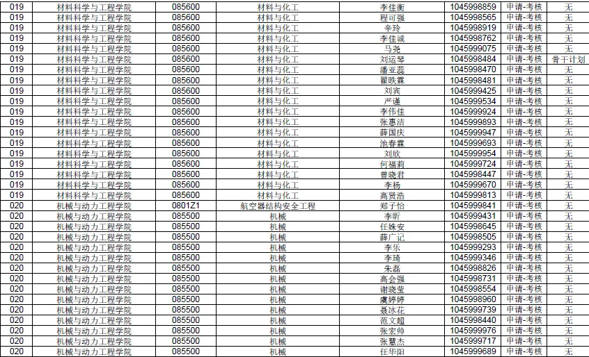
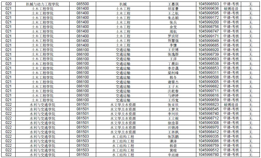
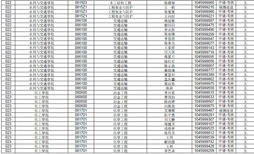
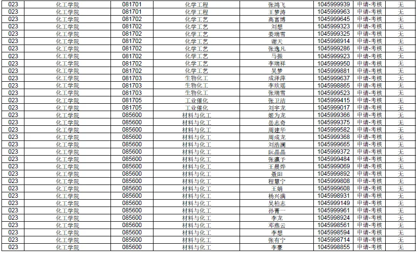
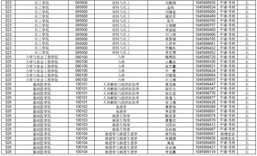
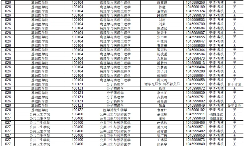
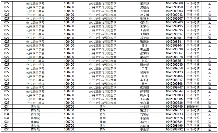
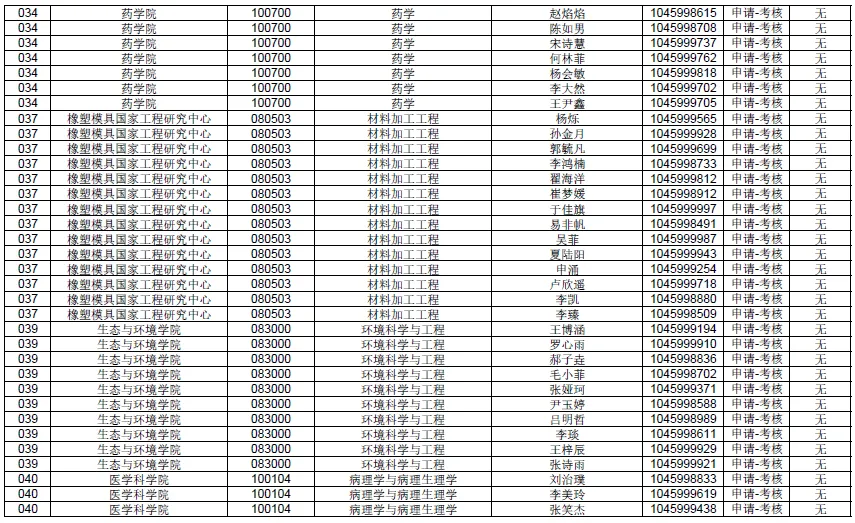
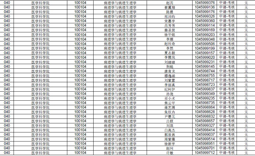
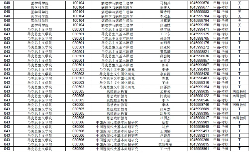
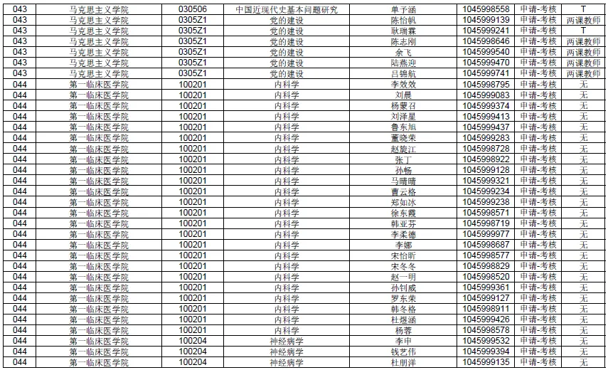
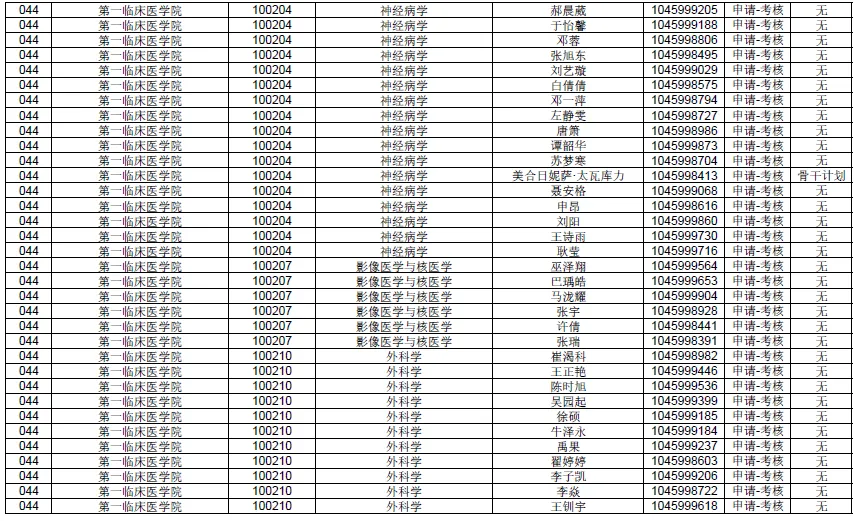
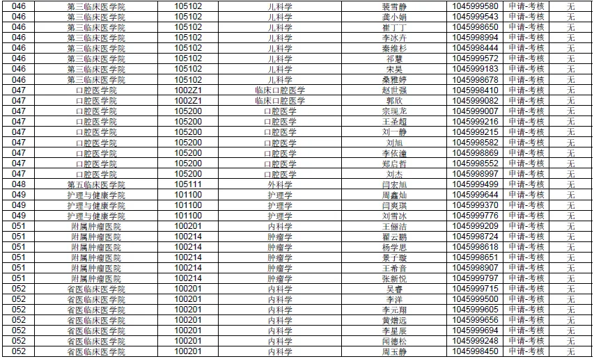
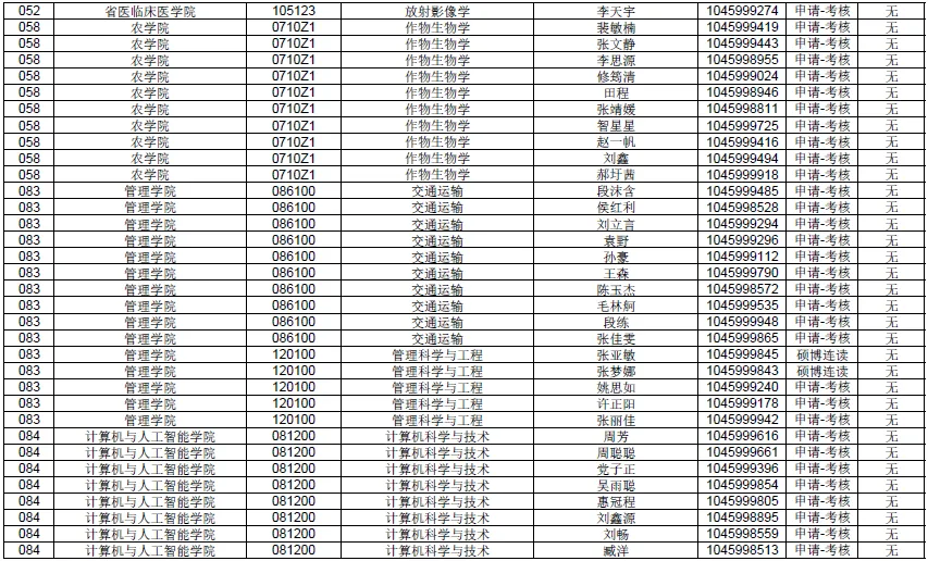
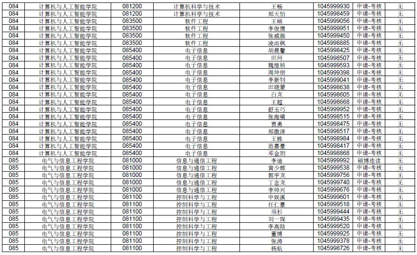
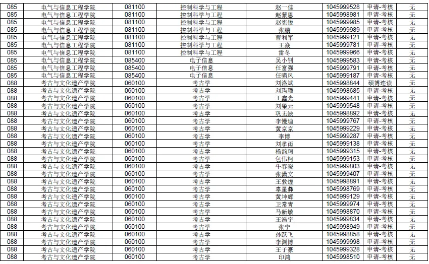
根据我校2026年博士招生相关工作安排,现将通过申请环节并准予参加考核的博士考生名单公示如下(见附件),该名单已经过报考院系核对确认,有异议的考生可联系报考院系或研招办咨询。
请相关考生在参加考核前,凭身份证号和报名号自行登录考核通知单打印系统(https://gs2.v.zzu.edu.cn/srch/print/doctorZkz.html)打印通知单,持通知单参加学院组织的考核,具体考核时间、地点、方式以招生学院发布为准。


































郑州大学2026考研QQ总群
速速加入吧!
寻找研友携手成功上岸!
优秀学长在线解疑答惑!
郑大考研信息尽在掌握!

点亮在看,成功上岸↓↓↓