

各有关单位:
2026年2月份郑州市建设工程主要材料价格信息采集整理工作已完成,请各单位参考使用。
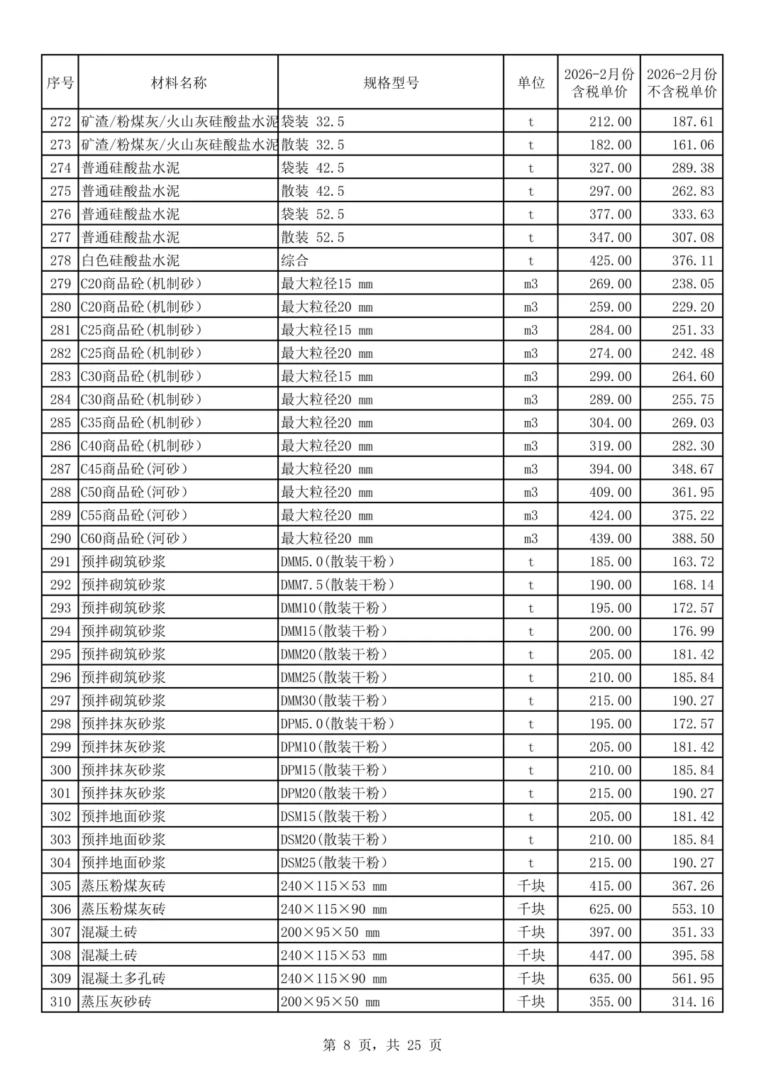
2月份,钢筋、型钢价格下降,钢板、钢管价格涨跌不一,有色金属价格上涨,水泥、混凝土价格上涨。本价格信息为到工地价(郑州市区四环以内),已包含材料原价、运杂费、运输损耗和采购保管费。各类建设工程在编制工程设计概算,施工图预算,招标控制价时可参考使用本信息价。建设工程发承包双方在确定工程材料价格时,应充分预测市场风险,慎重决策。在签订合同时,应在合同中明确约定材料价格的确定和调整方法,材料价格的风险范围和幅度。
本价格信息中的商品砼价格为到工地价,不含泵送费用,郑州市商品砼增值税按照一般计税13%计取,本价格信息发布的商品砼价格C40以下(含C40),为采用机制砂搅拌的商品砼,如实际采用河砂搅拌的商品砼,经发承包双方签证认可后,2月份每立方米可增加含税单价48.19元,不含税单价42.64元。
2026年1、2月份,郑州市商品砼如有按简易征收3%计取增值税的,1月份商品砼不含税单价在2025年12月份不含税单价基础上,每立方米下调4.85元;2月份商品砼不含税单价与2025年12月份不含税单价保持一致。为保障郑州市商品砼市场平稳有序运行,供需双方应依据相关政策法规,加强沟通、友好协商,及时签订补充协议,合理调整计税方式及价款,切实稳定供需关系,共同维护市场正常供应。
附件:2026年2月份郑州市建设工程主要材料价格信息.pdf
2026年3月19日


























来源:郑州市城乡建设局
