当前位置:首页>郑州>郑州大学 | 安敏,西芸,姚宏康,李翔南:气液固浆态床中颗粒-湍流涡-气泡的多尺度耦合机制

郑州大学 | 安敏,西芸,姚宏康,李翔南:气液固浆态床中颗粒-湍流涡-气泡的多尺度耦合机制

  • 2026-04-16 14:01:48
郑州大学 | 安敏,西芸,姚宏康,李翔南:气液固浆态床中颗粒-湍流涡-气泡的多尺度耦合机制

气液固浆态床中颗粒-湍流涡-气泡的多尺度耦合机制

安敏1西芸2姚宏康3李翔南2

1.郑州大学国家超级计算郑州中心,河南 郑州 450001;2.河南师范大学化学化工学院,河南 新乡 453007;3.郑州大学化工学院,河南 郑州 450001 )

DOI:10.11949/0438-1157.20251110

摘 要相较于气液鼓泡塔,气液固浆态床内颗粒的引入会使得反应器的流动及传递过程发生显著变化。广泛应用于气液鼓泡塔流动行为预测的多流体模型和群平衡模型,在模拟浆态床时准确性缺失,其原因在于浆态床内颗粒-湍流-气泡的多尺度耦合机制更为复杂,但尚未得到深入研究。以颗粒-湍流、气泡-湍流和颗粒-气泡的两两相互作用作为主要内容,综述了基于直接数值/大涡模拟或小尺度实验的颗粒-湍流-气泡的底层微介观耦合机制的研究进展。重点关注了颗粒和气泡对湍流场能谱结构和湍流特征参量的影响机制,探讨了湍流特性与介尺度的颗粒团聚物及气泡聚并/破碎行为的关联,论述了颗粒对气泡动力学的影响,提出了主要结论和未来研究建议。
关键词气液固浆态床颗粒湍流气泡多尺度

引用本文:安敏, 西芸, 姚宏康, 李翔南. 气液固浆态床中颗粒-湍流涡-气泡的多尺度耦合机制[J]. 化工学报, 2026, 77(2): 561-578(AN Min, XI Yun, YAO Hongkang, LI Xiangnan. Multiscale coupling mechanisms of particle-turbulence eddy-bubble in gas-liquid-solid slurry bubble columns[J]. CIESC Journal, 2026, 77(2): 561-578)

引 言

气液固浆态床反应器因其充分的混合和高效的相间传递性能,已经在化工、制药、冶金、废水处理及微生物培养等众多领域有了广泛的应用[1-4]。同时,在“双碳”目标的时代背景下,随着煤炭清洁高效利用的煤间接液化技术[5-6],以及CO2捕集与转化技术[7-8]等战略性产业的需求增长,作为关键装备的浆态床反应器的应用也显著增加。然而,作为一类高度复杂的多相流动系统,浆态床在工业应用过程中仍面临不少难题,例如,催化剂颗粒间的碰撞、破碎、磨损过程导致的催化剂损耗,气泡间的聚并及破碎行为引起的气泡直径的动态预测。浆态床性能依赖于装备设计和操控的精准化程度,而深入理解反应器内底层的多相流动及耦合行为则是实现对其进一步优化和改进的重要科学基础。
浆态床的结构和操作方式虽然与气液鼓泡塔相似,但所表现出的流体力学特性却有显著差异。对于研究中最常见的空气-水-玻璃珠体系,玻璃珠的加入会导致气含率有所降低,尤其是小气泡含量将明显减少,同时,气泡的直径分布范围变宽,平均直径增大[9-10]。Feng等[11]采用激光多普勒测速仪(laser doppler anemometry,LDA)测量了反应器内液相的速度分布和湍流脉动特性,发现玻璃珠的存在会使液相速度的脉动频率显著降低,速度梯度小幅提高。同时,颗粒浓度的进一步增加会致使浆态床与鼓泡塔在气含率和流场特性上的差异愈加显著。关于颗粒在浆态床反应器性能表现中的全面影响,包括颗粒对流型转换、气含率、液体速度和传质/传热系数等的作用,可参考综述[12-15]。目前,对浆态床的认识理解仍侧重于反应器的宏观表现层面,对其内部行为机制,特别是其中固相颗粒对气液系统的作用机制的理解还有待进一步明晰。
气液鼓泡塔中存在由相间相互作用引发的多尺度流动结构,并且不同尺度的流动结构之间相互耦合关联[16]。在浆态床中,在固相颗粒的参与下的相间相互作用必然产生新的耦合机制进而改变流动结构。例如,对于含有颗粒的液相,其速度脉动及湍流涡结构受液固相互作用的影响而改变[17],同时湍流涡的速度脉动又是气泡间碰撞的主要动力来源,因此,也会引起气泡聚并和破碎行为的变化[18-19]。更为复杂的是,由于不同直径气泡在浆态床内的不同区域分布也有差异,所以气泡直径分布的变化还会造成浆态床内轴、径向气含率分布的改变,进而改变反应器的整体气含率和大规模液相循环的强度[20-21]。综上可知,浆态床中颗粒的行为、气泡群的上升运动和聚并及破碎行为、连续相湍流涡分布等流动结构是相互耦合的,由此构成的颗粒-湍流涡-气泡多尺度耦合行为是浆态床内多相流体动力学的主导机制。
实际上,颗粒、湍流涡与气泡三者的关联是两两之间双向耦合的,但相关的研究分散在不同的学科领域和研究方向。如图1所示,颗粒与湍流涡的相互作用涉及流体力学学科中的负载颗粒湍流[22]以及湍流场中颗粒分布特性[23]基础研究;湍流涡是气泡间聚并及破碎行为的重要驱动力,该过程的模型构建是群平衡模型(用于求解气泡尺寸分布)研究领域的重要内容之一[18-19],而气泡运动对周围流体湍动特性的影响集中于气泡诱导湍流研究领域[24];颗粒与气泡间的碰撞和界面吸附等作用[25]在矿物浮选领域得到了广泛的研究。
图1颗粒-湍流涡-气泡的多尺度耦合机制Fig.1Multiscale coupling mechanisms of particles, turbulent eddies and bubbles
本文侧重于介绍气液固浆态床反应器内更底层的微介观的现象及机理,尤其是强调对相关的湍流理论进展以及湍流参量在模型中的应用进行总结,大多是基于直接数值模拟(direct numerical simulation,DNS)、大涡模拟(large eddy simulation, LES)或者小尺度实验的研究结果。出发点在于图1中的作用机制均与湍流现象的认识密切相关,但底层湍流研究的最新进展在化工文献及报道中并不常见,而是分布于不同的学科和领域。本文将分别介绍三种介尺度结构之间耦合机制的研究进展,总结主要结论并展望未来的发展方向。本文综述的微介观现象及机理有助于揭示宏观性能表现差异的原因和增强理解。

1 颗粒与湍流涡相互作用

颗粒的湍流输送系统中颗粒与流体的主要作用机制与颗粒的密度、尺寸、浓度和连续相流场湍流强度(平均波动速度与平均速度的比值)特性相关[25]图2展示了球形颗粒湍流输送系统的控制机制的三维示意图[26],其三维坐标分别为无量纲参数颗粒与流体的密度比ρp/ρf,颗粒直径与湍流特征尺度(Kolmogorov 尺度)的比dp/η,和颗粒体积分数ϕv。如图2所示,当颗粒尺寸较小且数密度较低时(天蓝色圆柱及红色长方体区域:dp/η<1,ϕv<10-5),即St=O(10-1~10),形成以颗粒倾向分布于低剪切区域和颗粒富集为主要特征的流动行为。在上述基础上增加颗粒数量,颗粒对流体的作用不能忽略,即超出单向耦合区域(浅粉色三棱柱区域)而进入双向耦合区域(ϕv>10-4)。如果是增加颗粒尺寸,当颗粒直径大于最小的湍流涡尺寸时,颗粒的无滑移边界致使湍流涡拉伸变形,称为颗粒的形状效应(紫色的长方体区域:dp/η>10)。颗粒对流体的剪应力随颗粒浓度的增加而增加(棕色的长方体区域:ϕv>10-3)。示踪颗粒(灰白区域:dp/η<0.1,ρp/ρf<5)往往具有极小的颗粒尺寸和密度,相反弹道流流型下(黑色区域:dp/η>1,ρp/ρf>5000)颗粒的密度和尺寸都很大。高固含率情况下,含有较重颗粒的液固系统具有稠密颗粒流流型特征(蓝色区域:ϕv>10-3ρp/ρf>500),而小密度颗粒系统则表现出非牛顿悬浮颗粒流(绿色区域:ϕv>10-2dp/η<1,ρp/ρf较小)流变特性。
图2球形颗粒湍流输送系统的控制机制的三维示意图[26](坐标轴分别为颗粒直径与最小湍流涡尺度比值dp/η,颗粒与流体密度的比值ρp/ρf,以及固相体积分数ϕvFig.2Three-dimensional view of the different regimes characterizing the transport of spherical particles in turbulence [26](The phase space is defined by the particle size compared to the smallest turbulence scales dp/η, the particle-to-fluid density ratio ρp/ρf, and the solid-phase volume fraction ϕv

1.1 负载颗粒湍流场特性

在气液固浆态床反应器中,颗粒流体系统一般位于图2中的紫色和棕色区域。此时,颗粒St较大或颗粒浓度较高,颗粒对周围流场的脉动特性产生显著影响,称为负载颗粒湍流场。负载颗粒对周围流场的调制作用在流体力学学科得到了较多关注[17,22,27]图3(a)展示了一个充分发展的均匀各向同性单相湍流场的能谱图[28]。随着湍流涡波数的增加,湍流能谱可以划分为含能区、惯性子区和耗散区。根据能谱级串理论,小波数(大尺度)湍流涡逐级向较大波数(较小尺度)湍流涡传递能量,最终能量通过处于耗散区的湍流涡的黏性耗散逐渐消耗。Squires等[27]利用DNS方法考察了颗粒对均匀各向同性湍流能谱的影响,如图3(b)所示,其中,ϕm代表颗粒的质量载荷,为颗粒总质量Mp与流体总质量Mf的比值。模拟结果表明,颗粒对不同尺度湍流涡能量的影响是不均匀的,其衰减小波数湍流涡能量、增强大波数湍流涡能量,这表明,颗粒具有加速湍流涡级串间能量传输过程的作用。柳朝辉等[29]、Wang等[30]、Zhang等[31]的直接数值模拟结果也获得了相似结论。
图3负载颗粒对湍流能谱结构的影响[27-28]Fig.3Effects of loaded particles on the entire energy spectrum of turbulent flow[27-28]
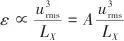
目前,关于颗粒对连续相湍流强度的影响尚未有一致结论,即颗粒可以增强或衰减连续相湍流[32-36]。颗粒对湍流的衰减效应主要源于三方面因素:浆液相惯性变大导致波动性减弱、颗粒的拖曳力作用导致湍流耗散增强、小漩涡在颗粒的无滑移边界处发生形变加速黏性耗散[37]。例如,Hoque等[37]采用粒子图像测速技术(particle image velocimetry,PIV) 测量了一个固定单颗粒周围的流体速度分布。该研究中使用的是振荡格栅湍流(oscillating grid turbulence,OGT)装置,该装置由一个矩形有机玻璃水槽组成,其中,包含一对垂直方向的格栅。颗粒固定在水槽底部,位于两个格栅中间。图4展示了格栅Reynolds数[式(1)式(2)]为10800情况下,基于速度梯度计算的能量耗散率[式(3)]。图4表明颗粒的存在使得周围流场的耗散率增加,且增加幅度与颗粒直径成正相关。颗粒致使湍流强度增强的两种机制为:颗粒后面的尾流和自诱导涡脱落导致流场脉动加剧、颗粒的聚集行为导致颗粒密度分布不均匀引起浮力诱导的不稳定性脉动。综上,颗粒对湍流的最终影响取决于以上五种机制的综合作用,不同直径、密度或浓度颗粒的影响程度和趋势也就并不相同[38]
图4基于速度梯度计算的能量耗散率云图(Reg=10800)[37]Fig.4Specific energy dissipation rate contours computed using velocity gradient method for Reg=10800[37]
(1)
(2)
式中,SL为格栅冲程长度,m;fg为格栅振荡频率,s-1Vg为格栅速度,m/s。Ls为格栅的网孔尺寸,m。
(3)
式中,urmsx方向的均方根速度,m/s;LX是纵向积分尺度,m;A是无量纲常数;ε是能量耗散率,m2/s3
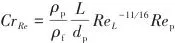
尽管颗粒对流场的调制作用十分复杂,但是许多学者致力于找到新的参量或标准来划分不同颗粒影响的范围。Gore等[39]提出当颗粒直径大于连续相流场的Kolmogorov尺度时,颗粒的加入会增强连续相湍流强度;反之,颗粒会衰减湍流强度。Hoque等[37]认为,颗粒尺寸与湍流积分长度的比值为0.41时,是湍流强度由衰减到增强的分界。Tanaka等[40]汇总了文献报道的负载颗粒湍流的实验和模拟结果,并推导和定义了一个新无量纲参量Pa来划分颗粒对连续相流场湍流动能(平均波动速度平方的二分之一)的调制趋势。基于Reynolds数和Stokes数的Pa的表达式分别见式(4)式(5),其中,ReL是以湍流积分长度L为特征长度的Reynolds数,Repdp|U-Up|/ν)是颗粒Reynolds数,Stτp/τf)是Stokes数,ρp是颗粒密度,ρf是流体密度,dp是颗粒直径,η是单相湍流场的Kolmogorov尺度。文献报道的负载颗粒湍流研究结果基于无量纲参量组合PaSt/ReLPaRe/ReL的分布见图5,其中,圆形图例代表连续相为空气的实验体系,方形图例代表水体系,空心图形代表颗粒的加入会增强连续相湍流动能,而实心图形代表衰减趋势。基于此分布,他们提出当ReL<1.5×103PaRe0.5或者PaRe<3时,颗粒的加入发挥增强调制作用;当ReL>1.5×103PaRe0.5并且PaRe>3时,调制趋势为衰减。类似地,Luo等[33] 也报道了新的无量纲参量Cr,见式(6)式(7),并提出CrRe=7000是判断颗粒衰减或增强湍流的临界值。除了判断颗粒的调制趋势之外,一些学者致力于给出颗粒调制作用的具体表达式,即对基于单相流开发的湍流模型进行修正,通过在湍流模型中加入修正源项来表征颗粒影响。Saito等[41]提出了一个新的颗粒时间尺度,该尺度与颗粒的数密度及直径成反比关系。将新颗粒时间尺度与湍流场积分长度的商定义为Da数,最终通过Da数的函数表达式来表征颗粒的影响。Rao等[42]也提出了基于StRe的新颗粒修正项,并对文献报道的不同修正项进行了比较。
(4)
(5)
(6)
(7)
图5颗粒对流场湍流调制趋势的分布[40]Fig.5Mapping of the trend of particle effects on turbulence modification[40]
相较于湍流动能,湍动能耗散率的考察需要更高频率或更小尺度精度要求,因此,相关报道更为有限。针对湍动能耗散率的研究,从空间角度来看有局部研究和全局研究之分,从时间角度进行划分有耗散流场和拟稳态流场类型之分。关于耗散流场和拟稳态流场,虽然自然界中的湍流往往会因为流体黏性而不断耗散,但稳态流场可以为分析和构建复杂的湍流数学模型提供便利[43]。柳朝晖等[29]利用DNS方法研究了具有小体积分数和大质量载荷的颗粒群对一个耗散流场的调制作用,模拟结果表明颗粒的加入使得流场的湍动能耗散率增加,并且该耗散率随颗粒惯性的增加而增大。从局部角度出发,Tanaka等[17]认为,由于颗粒表面的无滑移特性,小尺度湍流涡在颗粒附近会出现拉伸扭曲等形变,导致局部流体黏性耗散率增加。相反,Squires和Eaton[27,43-44]从能量守恒的全局角度对一个拟稳态流场中能量的输入和耗散进行了分析。其中,利用DNS方法模拟均匀各向同性的拟稳态负载颗粒湍流场,并且通过对流场施加周期性低频作用力来构造拟稳态效果。模拟结果表明,由于流体黏性导致的全局湍动能耗散率随颗粒含量的增加而显著减小。对于此相反的湍动能耗散率变化趋势,作者解释为在拟稳态工况下,系统总能量的输入和耗散保持恒定和相等,由于颗粒拖曳力导致了部分能量耗散,因此,在总耗散不变的情况下流体黏性导致的能量耗散降低。Tanaka等[17]利用一台空间分辨率为60 μm (接近Kolmogorov尺度)的高频PIV测量了一个410×410 mm2的拟稳态负载颗粒湍流场,实验数据表明,颗粒的加入使得流场湍动能最大下降了25%,湍动能耗散率也出现降低,但降低幅度小于湍动能。

1.2 湍流场中颗粒动力学特性

颗粒会调制液相湍流结构,反过来湍流也会对颗粒的动力学行为产生重要影响,包括速度波动、空间分布特征及碰撞等等。液固两相湍流中颗粒的扩散、碰撞行为及分布规律,对研究大气悬浮物、喷雾燃烧以及煤粉输运等自然现象和工业生产过程十分重要[22],众多学者开展了针对带有负载颗粒的均匀各向同性湍流场的小尺度实验研究和直接数值模拟研究[17,45]St数较小的颗粒,例如与流体密度相近且尺寸在数十微米级别的颗粒,主要作为示踪粒子通过其自身速度波动来间接反映周围流场的速度和湍流强度。不同于在静止环境内的颗粒沉降过程,在充分发展的湍流场中可以轻易发现约为重力加速度1500倍的示踪颗粒加速行为,此颗粒行为与捕获该颗粒的周围小尺度漩涡的运动相关[46]图6展示了利用高能物理实验检测技术测量的示踪粒子在其拉格朗日轨迹上的速度增量(Δτv)的分布规律,结果表明其呈现出显著的单峰分布[47]。其中,横坐标为无量纲化的速度增量,纵坐标为概率密度分布,TL代表涡的生命周期,τ代表不同的取样时间间隔。示踪颗粒的周围环境决定了其拉格朗日运动轨迹,颗粒在拉格朗日迹线上的速度波动或加速行为的统计学性质是研究学者最为关注的方面。应用最广泛的颗粒加速行为统计变量是速度自相关变量,该变量直接与二阶速度结构函数相关,而后者是计算湍流能谱以及湍流动能和耗散率等特征参量的基础变量[48]。最新研究进展是通过追踪示踪颗粒群(每组含三个或四个颗粒)的形状表征湍流场中的速度梯度[49]
图6不同时间间隔的示踪粒子速度增量的概率密度分布[47]Fig.6Probability distribution function of velocity increment calculated for time lags[47]

(时间间隔分别为100τ/TL=1.3、2.7、5.4、11.2、22.4、44、89.3、174)

(for time lags 100τ/TL=1.3,2.7,5.4,11.2,22.4,44,89.3,174)

对于重颗粒,研究的侧重点在于其在湍流场中的空间分布规律和颗粒间碰撞行为。实验和模拟结果表明,颗粒趋向于优先分布在高剪切率和低涡度的区域,即分布在小尺度湍流漩涡的中间鞍形交界区域以及大尺度涡的周围区域,这表明,湍流在一定程度上会抑制而非增强颗粒混合程度[45,50]。Wang等[30]利用格子玻尔兹曼(lattice Boltzmann method,LBM) 方法研究了单粒径颗粒群在均匀各向同性湍流场中的集聚行为。图7显示在模拟起始时刻,颗粒均匀分布于整个流场区域;在模拟时间约为30个涡流周期时,颗粒在周围流体的推动作用下相互碰撞和集聚,呈现出在低速区域优先分布的规律;同时,在颗粒的衰减作用下,湍流场的高速脉动减少,全局来看速度幅值有所降低。关于颗粒集群的形成机理,文献中有如下探讨。漩涡对颗粒的离心力作用是形成颗粒优先分布区域进而形成颗粒集群的重要机理之一[51]。然而,在中等St工况下,颗粒对流体运动的响应时间延长导致的速度差异增加机制的影响则更为显著[52]。Vassilicos等[53-55]则提出了一个新的颗粒集群形成机理,他们发现颗粒群分布和湍流场中的零加速点分布具有强相关关系,如图8所示。通过分析和总结相关规律,他们提出颗粒群的尺寸和形状直接由零加速点的分布决定,并且此机理不受St影响。但是,颗粒群和零加速点的分布规律受St的影响显著。随着St的增加,由于颗粒的聚集不仅产生了小孔洞(无颗粒空区域),而且逐渐出现明显的大孔洞,其中,最大孔洞的尺寸接近纵向积分长度尺度。随着St的进一步增大,小尺度的孔洞逐渐变弱并最终消失[55]
图7速度幅值云图和颗粒分布[30]t=0起始时刻颗粒均匀分布;t=30Te当计算时间为30个涡流周期时计算停止)Fig.7Contours of fluid velocity magnitude and particle position[30](at the start of simulation with particle evenly inserted and at the end of simulation when t equals 30 times eddy turnover time)
图8惯性颗粒[(a)、(c)、(e)]和零加速点[(b)、(d)、(f)]的空间分布[55][(a)和(b)中绘图区域的边长约为7倍的积分长度,相当于200倍的Kolmogorov尺度;(c)和(d)中绘图区域是(a)和(b)中框选区域的4倍;(e)和(f)中绘图区域是(c)和(d)中中框选区域的4倍]Fig.8Spatial distribution of inertial particles [(a), (c) and (e)] and zero-acceleration points [(b), (d) and (f)][55][(a) and (b)] The side length of plots is about 7 integral scales corresponding to 200 Kolmogorov scale. (c) and (d) The four-times magnification of squared region in (a) and (b). (e) and (f) The four-times magnification of squared region in (c) and (d)]
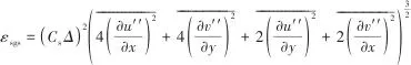
在湍流场中颗粒集中分布的区域,在湍流涡作用下,颗粒间碰撞及聚并速率增加,出现颗粒团聚物等非均匀介尺度结构;但另一方面,大尺寸的颗粒团聚物也会因为湍流涡冲击而发生破碎。研究重点关注团聚物结构的特征,例如尺寸、密度和形状。Derksen[56]根据团聚物分型维度及旋转半径来确定其尺寸nagg,并指出团聚物尺寸与颗粒间碰撞力度和湍流强度相关。图9展示了一个立方体区域内的颗粒团聚物形状和分布。Wang等[30]提出随着颗粒体积分数的增加,颗粒团聚物尺寸先呈现增长趋势后保持近似稳定。在实验室规模三相循环流化床反应器中,Liu等[57]在实验过程中也发现了包含两个或三个单颗粒的树脂颗粒团聚物的存在,并指出颗粒直径和密度的增加不利于提升颗粒间团聚物的稳定性。最新的研究进展集中于颗粒碰撞和聚并不能忽略的高浓度工况,以及非球形颗粒以及带电颗粒[58]
图9一个立方体区域内的颗粒团聚物的单独展示[56](颗粒颜色由其所属的团聚物尺寸决定:红色:nagg<4、黄色:4≤nagg<7、绿色:7≤nagg<10、蓝色:nagg≥10)Fig.9Single realizations of aggregates in cubic domains[56][primary spheres colored by the size of the aggregate, they are part of (red: nagg<4, yellow: 4≤nagg<7, green: 7≤nagg<10, blue: nagg≥10)]

2 湍流涡与气泡相互作用

湍流涡与气泡的相互作用是气泡流领域,即大量气泡随机分布于液相中的重要研究内容。在较大的Reynolds数下,气泡对液体产生搅动作用,作用机制包括剪切诱导湍流、气泡诱导湍流和大尺度的浮升行为。最新研究表明,气泡诱导湍流与剪切诱导湍流具有明显的区别[24],本文侧重于总结气泡诱导湍流的湍流能谱及平均湍流特征参量的最新研究进展。同时,连续相湍流场是气泡的聚并和破碎过程的重要驱动力,本文总结了气泡聚并/破碎速率模型中湍流参量的应用和表征方式,以及最新的基于全能谱的核函数构建进展。

2.1 气泡诱导湍流场特性

气泡浮升过程中对周围流场的搅动作用,称为拟湍流或者气泡诱导湍流(bubble induced turbulence,BIT)。目前的共识是存在BIT影响的两相流湍流能谱与单相湍流的能谱结构存在显著差异,但其中的能量传输途径更为复杂,现在尚无一致定论。直接数值模拟成为BIT的能谱结构和相关流动参量研究的重要手段。Innocenti等[59]首先开展了一系列数值模拟确定了高Reynolds数工况下气泡诱导湍流的DNS研究需要的网格分辨率。通过对一个竖直管内气泡流的模拟发现,在气泡直径尺度附近的湍流涡能谱与波数的-3次幂成正相关关系。此外气泡能量直接传递给相近尺度的湍流涡,该湍流涡的能量一方面向大尺度涡传递形成了较大的非均匀结构;另一方面类似单相湍流向小尺度涡传递直至通过流体黏性耗散。Risso[24]实验测量了高Reynolds数情况下,气泡上升诱导的液相波动行为,并根据实验数据绘制了竖直和水平速度分量的能谱。图10表明,在波长为2~17 mm能谱结构呈现-3斜率,明显偏离单相均匀各向同性湍流的-5/3幂律。Roghair等[60]、Prakash等[61]也报道了呈现波数-3次幂特征的能谱结构。除了湍流能谱结构之外,BIT也对流场其他湍流参量产生影响,例如湍流动能等。Feng等[62]通过对一个单气泡诱导湍流工况进行DNS模拟,发现气泡尾涡区域产生新的液体漩涡进而致使流场的湍流强度增加,并且增加的幅值与气泡的相对速度和变形程度相关。Rzehak等[63]报道气泡可以增强或者抑制流场的湍流强度,但是并未解释具体的作用机制。Hosokawa等[64]提出了一个与湍流黏度比值ϕ(离散相诱导湍流/连续相剪切湍流)有关的关联式,该关联式可以有效预测湍流动能的增强或衰减幅度。
图10气泡诱导液相波动的能谱[24]Fig.10Spectra of bubble-induced liquid fluctuations in vertical and horizontal velocities[24]
近年来,在雷诺平均湍流模型(k-εk-ω两方程模型以及雷诺应力七方程模型等)中引入气泡诱导湍流影响的研究得到了广泛关注。BIT源项的引入方式分为两种,一种是不改变原始的湍流模型而是在由其导出的湍流黏度基础上线性耦合BIT影响[65];另一种是在湍流模型的每个方程中添加对应参量的BIT作用源项[63,66],此时湍流模型导出的湍流黏度便同时包含了剪切作用和BIT作用。目前,BIT相关研究中主要采用第二种引入方式。相较于两方程模型,雷诺应力模型还可以考虑BIT作用的各向异性影响[67-68]。假设气泡由于曳力所消耗的能量全部转换为气泡尾涡区域流体的湍流动能,湍流动能k的BIT作用源项一般简化为曳力和相对速度的乘积,而其与特征时间的比值作为湍流动能耗散率ε的作用源项。经推导,湍流动能比耗散率ω的源项为基于湍流动能k及湍流动能耗散率ε源项的函数[63]。特征时间为特征长度和特征速度的比值,这两个特征参量在不同研究中的定义不同,例如,特征长度可以是湍流Kolmogorov尺度[69]、气泡直径[67]等,特征速度可以是湍流动能的算术平方根[69]、滑移速度[70]等。此外,Jiao等[71]利用能量最小多尺度方法(energy-minimization multi-scale,EMMS)从系统能量守恒的角度推导出一个新的特征速度模型,该模型同时考虑了切向和轴向滑移速度分量的作用。除特征时间外,不同源项表达式中的经验参数也不同,可能是不同的常数[63],也有部分研究中采用基于Reynolds数的函数形式[70,72]。不同BIT源项的表现评估可参见文献[63,67]。目前,研究对于建立具有普遍适用性的BIT源项表达式尚未达成一致观点。

2.2 湍流驱动下的气泡聚并及破碎行为

湍流涡的无规则脉动对气泡动力学特性的影响主要体现在气泡的聚并与破碎行为方面,该过程是群平衡模型(population balance model,PBM)研究的重点内容。气泡间聚并速率是碰撞频率和聚并效率的乘积。对于气泡碰撞过程,众多学者认为湍流涡冲击作用下的气泡随机脉动是致使气泡相互靠近的最主要驱动力,同时以相同尺寸湍流涡的平均脉动速度表征气泡速度[19,73]。类比分子热力学统计理论,构建了计算两个气泡碰撞频率的数学模型。例如,图11是气泡在湍流涡的作用下碰撞过程的示意图,包括单涡驱动单气泡和双涡驱动双气泡两种机制。在经典的膜排干聚并效率理论[74]中,气泡碰撞后的聚并效率为毛细力作用下气泡间液膜排干所需时间与气泡接触时间的比值的函数。气泡接触时间与湍流涡寿命相关,进而与湍流动能耗散率成反比关系。对于气泡破碎过程,湍流涡行为以及基于湍流能谱的湍流参量表达式更是建立气泡破碎速率模型的重要基础。气泡间破碎速率依旧是碰撞频率和破碎效率的乘积。首先,湍流涡旋对气泡的冲击作用是气泡破碎的主要原因,两者的碰撞频率同样基于分子热力学统计理论建立。目前具有广泛应用的气泡破碎效率建模思路认为气泡破碎的条件与湍流涡携带的能量有关,例如表征为气泡破碎增加的表面能与湍流涡平均湍流动能的比值的函数[75]。综上可知,气泡聚并及破碎过程与湍流涡脉动行为紧密关联。不同学者基于此构建了众多气泡聚并及破碎速率模型,相关报道可参见文献[18-19,76]。但是,Chen等[77]采用CFD-PBM模型模拟一个空气-水鼓泡塔内的气泡尺寸分布,发现即便是采用不同的聚并和破碎速率模型组合,预测的气泡索特平均直径都要大于实验测量结果,并提出在对破碎速率增加10倍后,预测结果合理性得到显著提升。作者认为存在上述问题的关键原因在于对底层湍流参量模拟的准确性不足。
图11湍流场中气泡和湍流涡的两种不同作用机制示意图[78]Fig.11Two different interaction mechanisms between turbulent eddies and droplets in the turbulence[78]
针对湍流参量与气泡聚并和破碎行为的关联,文献中报道了不同的改进方法。王铁峰[76]提出气泡破碎效率模型中除考虑表面能增量条件外,仍需满足湍流涡的动压大于最大的气泡附加压力条件,进而获取合理的子气泡分布概率。Han等[79]针对大于和小于原气泡直径的两种湍流涡尺寸,通过考虑气泡表面振荡和正弦速度分布构建了新的气泡破碎模型。新模型在代入全能谱函数[80-81]后成功预测到气泡破碎速率随直径先增加后减小的实验观测趋势,见图12。Solsvik等[82-83]认为,不同尺寸湍流涡均可能导致气泡破碎,并基于均匀各向同性湍流全能谱函数重新推导了处于含能区、惯性子区及耗散区的湍流涡平均脉动速度和数量,得到基于全能谱的新破碎速率模型。结果表明,新模型预测的气泡破碎速率要高于仅考虑惯性子区湍流涡破碎行为的破碎速率数值,并且气泡尺寸越大,该现象越明显。Shi等[68]和施炜斌等[84]提出在鼓泡塔中,气泡诱导湍流BIT与剪切诱导湍流SIT(shear induced turbulence)同时存在,并通过调研文献发现此种情况下处于惯性子区的湍流涡能量与波数的-3次幂成正比,而区别于仅存在剪切诱导湍流的单相湍流能谱结构中的-5/3次幂分布规律。他们基于新的能谱结构重新推导了湍流参量表达式,进一步提出了考虑气泡诱导湍流效应的气泡破碎速率模型。不同于以上研究思路,Yang等[85]从鼓泡塔的能量输入与耗散的全局角度出发,建立了零维双气泡(dual-bubble-size,DBS)模型[86-88],并推导出用于气泡破碎的湍流能耗。将此介尺度能耗作为系统内气泡聚并破碎过程的物理约束,用于确定气泡聚并破碎速率,进而提升了PBM预测结果。该方法具有不受核模型组合限制的优势,因而具有更广泛的适用性。
图12基于不同能谱结构的气泡破碎频率[79]Fig.12Breakage frequencies predicted by different energy spectrum models[79]

SMA—谱模型A (Pope model[80]); SMB—谱模型 B (Hinze model[81]); SIS—惯性子区谱模型

SMA—Spectrum model A (Pope model[80]); SMB—Spectrum model B (Hinze model[81]); SIS—Spectrum of inertia subrange

3 颗粒与气泡相互作用

气液固三相系统中颗粒与气泡会发生碰撞和吸附等直接作用;同时,颗粒也会悬浮于液相中形成浆液相混合物,颗粒通过改变气泡周围环境的流变特性规律间接影响气泡的动力学行为。

3.1 颗粒与气泡的直接作用

颗粒与气泡之间存在碰撞及界面吸附等直接作用。关于碰撞过程,Chen等[89]观测了在无限大液体介质中一个自由下落的玻璃珠与一个自由上升气泡(空气)的“头”对“头”直接碰撞作用过程,并对此进行了数学机理建模。实验和模型计算结果表明,小而轻的颗粒导致气泡小幅变形后被反弹回去;中等颗粒会贯穿气泡后继续运动但不会致使气泡破碎;大颗粒会穿透和破碎气泡。其中,致使气泡破碎的玻璃珠临界直径约为2.2 cm。
颗粒在气泡表面的吸附-脱附行为在浮选领域得到了广泛研究。在浮选装置中,疏水性矿物颗粒吸附于气泡表面,随着气泡上升,部分颗粒从气泡表面脱附,部分颗粒随气泡经浮选装置出口进入下一步精炼环节,该过程实现了关键矿物质的筛选以及颗粒空间分布的更新[90]。颗粒在气泡表面的吸附行为主要会抑制气泡间聚并行为和降低气泡上升速度,因此,一般会提升装置气含率[1]。亲水性颗粒的界面吸附作用往往会忽略,但是对于颗粒直径较小的亲水性颗粒,也会发生界面吸附行为。需要说明的是,也存在通过添加捕收剂增强亲水性颗粒浮选效率的浮选方式。
Hunter等[91]对不同性质颗粒增强和破坏泡沫或乳化系统稳定性的机理分析进行了综述。图13展示了不同颗粒与气泡界面直接作用方式,包括(a)无颗粒作用下的干净气液界面;(b)大颗粒起到稳定气液界面作用;(c)少量轻小颗粒吸附在气液界面会改变界面曲率进而影响毛细管力;(d)大量颗粒存在于两界面之间,界面之间液层中形成的颗粒群可以传递界面间作用力;(e)液层存在的非吸附颗粒会改变液相表观黏度;(f)大量具有强吸附作用的颗粒紧密排列在气液界面,形成了稳定的阻力边界层。例如,Mena等[92]和Rabha等[93]报道在气液鼓泡塔中加入低固含率(<3%)和小直径(dp= 2.1 mm)的玻璃珠(ρp=1023 kg/m3)后,气含率出现增加的趋势。在低固含率和小粒径颗粒情况下,即便是亲水性颗粒,也有部分颗粒吸附在气泡表面,这会减低气泡碰撞后形成的液膜的排干过程,进而降低气泡聚并速率。因此,气泡尺寸减小,气泡上升速度降低,气含率上升。
图13不同的颗粒与气泡界面作用方式[91]:(a)干净的气液界面;(b)连接颗粒发挥稳定气液界面作用;(c)轻吸附颗粒通过改变界面曲率影响毛细管力; (d)连接的悬浮颗粒群传递‘离散’力; (e) 非吸附颗粒改变液膜黏度; (f)强吸附颗粒形成阻力边界层Fig.13Various interaction mechanisms of particles and bubbles at the bubble interface[91]: (a) clean bubble interfilm; (b) stabilisation from bridging particles; (c) weakly adsorbing particles reducing capillary flow through meniscus alterations in curvature; (d) bridging flocs transmitting mechanical ‘disjoining’ force; (e) non-adsorbing particles altering viscosity; (f) strongly adsorbing particles creating steric barrier

3.2 颗粒对气泡动力学特性的间接影响

颗粒的加入对气泡行为的间接影响包括气泡上升路径、气泡间聚并过程、气泡破碎过程及气泡尾涡稳定性四个方面。
气泡的上升路径直接影响气泡上升的绝对速度,进而会改变反应器的平均气含率。Hooshyar等[94]测量了一个3 mm气泡在静止的液固悬浮物中的上升过程,其中,多孔固体颗粒的表观密度与液体相近,但尺寸不同(dp= 78 μm、587 μm、2.0 mm、4.0 mm),如图14所示。高速摄像观测结果表明,对于78和587 μm的颗粒,气泡最终以恒定速度竖直浮升,气泡上升路径未受颗粒显著影响;但对于2.0和4.0 mm的气泡,颗粒上升过程中遇到颗粒阻挡先逐渐减速等绕过之后再次加速,周期性变速运动使得气泡平均上升速度小于其稳定的终端速度。Tsuchiya等[95]首先通过调整液体的表观速度使得颗粒处于悬浮流化状态,测量了气泡在带有不同颗粒的液固流化床中的终端速度。结果表明,颗粒的加入显著降低了气泡上升速度,气泡速度随固含率增加而降低。可以发现,上述研究均避免或中和了颗粒的重力作用,并未充分考虑颗粒的惯性作用和沉降过程对气泡行为的影响,与实际操作工况具有一定偏差。Lakhdissi等[96]通过测量鼓泡塔在DGD(dynamic gas disengagement)过程中的压差变化估算颗粒对气泡上升速度的影响,该过程中液体速度几乎为零,因此可以最大程度考虑颗粒重力的影响。结果表明在相同的固含率下,携带大直径颗粒的反应器的气含率较低,但是其在切断气源后的气含率下降速度却偏慢。这说明在正常流化状态下,在颗粒重力影响减弱的情况下(液体对颗粒的向上的曳力作用中和了部分颗粒重力),大直径颗粒体系中气泡的上升速度偏大;但是在切断气源后,颗粒重力影响增强时(液体大规模循环结束,液体对颗粒向上的曳力消失),该体系中气泡上升速度因受到更多阻碍而具有较小的上升速度。上述实验过程表明颗粒重力作用对气泡上升速度具有较为显著的影响。
图14空气气泡在水/甘油-聚苯乙烯混合物中的运动[94]Fig.14Gas bubble motion in water/glycerol-polystyrene mixture[94]
气泡之间发生聚并一般会经历三个阶段:首先是相互靠近,直到在气泡间形成一层液膜;然后中间液膜受毛细管力向外排出而逐渐变薄;最后若液膜厚度可降低到临界值,则液膜破碎发生聚并,否则气泡将被反弹分开[74]。文献中关于颗粒对气泡聚并过程影响的一般认识是,疏水性颗粒会降低气泡聚并速率[91];亲水性颗粒会导致气泡间聚并速率的增加[97]。但该机制主要来源于现象观察和逻辑推理,相关定量研究的报道有限。Ojima等[98-99]利用高速摄像系统测量和定量考察了气泡聚并过程,发现亲水性多孔硅颗粒的加入使得液膜排干时间显著降低(图15),并根据实验结果提出液膜排干加速因子与颗粒属性的经验关联式。但是,作者并未给出颗粒加速液膜排干过程的详细机制,只是推测存在的颗粒降低了液膜的稳定性。现有研究表明,液膜中亲水性颗粒会抑制液膜排干和稳定液膜的作用,而疏水性颗粒会加速液膜排干过程[25]。遗憾的是,这与Ojima等的实验结果相矛盾[98-99],可能是因为液膜中颗粒的影响与颗粒属性高度相关。具有相同尺寸的亲水性颗粒会减缓液膜排干,而存在一定尺寸分布的颗粒反而会因为不规则界面的形成和增加界面粗糙度而加速液膜排干过程[100]。An等[101]构建了浆态床的CFD-PBM模拟方案,并初步探索了液膜排干时间对气泡直径分布的影响,发现虽然液膜排干时间缩短的确会使模型预测的平均气泡直径增大。但是,由气泡直径分布所显示,小直径气泡的含量并无明显变化,而这与其含量会因颗粒的加入而显著降低的诸多实验报道不符。
图15不同固含率的气泡聚并过程[98]Fig.15Bubbl coalescence at different particle loadings [98]
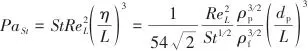
气液系统中导致气泡破碎的主要机制是周围流场中湍流涡的冲击。颗粒的加入通过改变浆液相流场特性产生间接作用影响气泡破碎过程。Gabriele等[34]利用PIV技术测量了一个液固搅拌槽中的湍流特性,图16分别是在0、1.5%和5%的平均固含率情况下,搅拌桨向上(a)和搅拌桨向下(b)布局下特定径向位置处,等效湍动能耗散率ε沿反应器轴向的分布规律。ε的计算过程见式(8)式(9)。结果表明,颗粒的加入会衰减等效湍动能耗散率,且增加颗粒浓度会加剧衰减作用。为了考察颗粒对气泡破碎行为的影响,通过添加聚并抑制因子(异戊醇),Gandhi等[102]研究了无气泡聚并过程的鼓泡塔中颗粒对气泡破碎行为的影响程度。其中采用的固体颗粒为35 μm玻璃珠,该颗粒主要悬浮于液相中发挥间接影响,与气泡之间并无明显直接作用。实验结果表明,在较高气速下气含率随固含率的增加而显著降低。作者认为气含率的降低对应着气泡平均尺寸的增加。在排除气泡聚并因素后,上述现象表明气泡的破碎速率降低,原因可能在于颗粒的加入会降低湍动能耗散率。An等[101]针对在空气-水两相系统中加入玻璃珠颗粒致使气含率显著减小现象,在对多种颗粒影响因素考察后发现,只有考虑颗粒对连续相湍动能耗散率的衰减作用,才能够更为合理地修正预测浆态床的气泡直径分布和气含率。在引入经验性的湍动能耗散率衰减因子后,模型预测的气泡直径分布曲线与实验结果吻合良好。
(8)
(9)
式中,N是搅拌槽转速,s-1D是叶轮直径,m;Cs是Smagorinsky 常数,Δ是网格间距或者滤波宽度,m。
图16ε的轴向分布[34]:(a)搅拌桨向上的布局中r/R=0.55径向位置处;(b)搅拌桨向下的布局中r/R=0.65径向位置处Fig.16Vertical distribution of ε for: (a) the impeller operated in up-pumping configuration at a radial position of r/R=0.55; (b) the impeller operated in down-pumping configuration at a radial position of r/R=0.65[34]
当气泡尺寸较大时(例如,气液体系中10 mm[75]),其尾部低压区域会卷吸周围流场形成一个以同样速度随气泡一起运动的流场结构,称为气泡尾涡[103]。大气泡对尾涡的夹带作用使得尾涡内小气泡的绝对上升速度增加,进而使得反应器内平均气含率降低。气泡尾涡存在形成、稳定上升、剥落、耗散的周期性行为[104]。Zhang等[105]使用VOF-DPM (volume of fluid-discrete phase model)方法模拟了液固系统中的气泡尾涡结构,图17显示气泡下方的颗粒区域可以分为稳定气泡尾涡区,波动气泡尾涡区和涡尾区域。Banisi等[106]认为,由于加入的颗粒会增加浆液相黏度,进而起到稳定气泡尾涡的作用。
图17气泡下方颗粒区域示意图[105]Fig.17Schematic of the particle area beneath the bubble [105]

4 结论与展望

本文从颗粒-湍流涡-气泡三者之间两两耦合关联的角度,综述了不同尺度流动结构之间的作用机制。通过整合多领域的研究进展,以期增强对浆态床反应器性能表现背后的深层物理机制的理解,也为继续探索和揭示浆态床内不同尺度流动结构间的耦合关系以及主导的流体动力学因素提供新思路,主要结论和对未来研究的建议如下。
(1)颗粒与不同尺度的连续相湍流涡之间存在至少五种作用机制,在不同机制的综合影响下颗粒可以增强或者衰减湍流,影响趋势尤其是与颗粒的尺寸和密度等性质紧密相关。确定影响趋势的关键参量及划分标准和对颗粒影响模型的构建及验证是目前的研究重点。
(2)负载颗粒湍流和气泡诱导湍流本质上都属于分散相与连续湍流场相互作用范畴。颗粒虽尺寸小但密度大,流体运动跟随性较差,在惯性作用下拖拽大尺度湍流和产生小尺度湍流。小气泡则是夹带在液体中随流体运动。当气泡直径增大后,气泡浮力增强,流体运动跟随性变差,产生气泡诱导湍流。大气泡会诱导产生湍流,且湍流能谱中惯性子区出现-3斜率区域,而颗粒负载湍流的能谱结构变化的定量表征尚无一致的定论。
(3)微介观尺度的湍流涡与颗粒/气泡作用、颗粒与气泡的直接碰撞/吸附行为以及受颗粒间接影响的气泡聚并/破碎行为和尾涡动态演化过程,是宏观浆态床流体力学平均特性的底层机制,是浆态床传质和反应过程的基础,对浆态床反应器整体性能表现具有重要影响。
(4)连续场的湍流特性及湍流参量的函数表征是气泡及颗粒动力学行为研究的基础。但由于面临实验测量的强干扰性和高精度数值模拟的困难,研究者对单相及多相湍流场的认识还不能满足相关研究和应用的需求。随着人工智能技术的快速发展,采用机器学习等方法协助湍流基础研究,有望显著提升相间作用力及群平衡模型的预测能力,进而增强基于计算流体力学的数值模拟方法在反应器设计及优化方面的可靠性及应用范围。
(5)基于气液系统的多流体模型和群平衡模型,在模拟浆态床中的流体力学特性方面缺失了准确性,原因主要在于简化了颗粒-湍流-气泡三者之间的多尺度耦合关系。从考虑了颗粒影响的负载颗粒湍流能谱结构出发,求解不同尺寸湍流涡的平均动能及数密度等湍流参量,重新推演表征气泡聚并/破碎行为的核函数模型,同时在基于单相流动行为建立的经验湍流模型中加入表征颗粒影响的源项,进而从模型方程层面实现颗粒-湍流-气泡三者的耦合关联,以此构建出具有多尺度特性的CFD-PBM 模型,有望构建合理预测气液固浆态床特性的数值模拟方案。

Multiscale coupling mechanisms of particle-turbulence eddy-bubble in gas-liquid-solid slurry bubble columns

AN Min1XI Yun2YAO Hongkang3LI Xiangnan2

1.National Supercomputing Center in Zhengzhou, Zhengzhou University, Zhengzhou 450001, Henan, China;2.School of Chemistry and Chemical Engineering, Henan Normal University, Xinxiang 453007, Henan, China;3.School of Chemical Engineering, Zhengzhou University, Zhengzhou 450001, Henan, China )

AbstractCompared to the gas-liquid bubble columns, the addition of solid particles usually causes substantially different flow and transfer behaviors in slurry bubble columns (SBCs). However, the multifluid model and population balance model widely applied in predicting hydrodynamics in gas-liquid system lose their accuracy when facing SBCs, which is because the more complicated multiscale coupling mechanisms of particles, turbulent eddies and bubbles in SBCs are not fully considered. Concentrated on interactions of turbulent eddies-particles, turbulent eddies-bubbles and particles-bubbles, advances on the underlying micro/meso scale coupling mechanisms of particle-turbulent eddy-bubble relied on DNS (direct numerical simulation) /LES (large eddy simulation) or small-scale experiments are reviewed. This paper focus on effects of particles and bubbles on the energy spectrum and quantities of turbulence, discusses the interconnections between turbulence characteristics and mesoscale structures, namely particle clusters and bubble coalescence/breakage behaviors, expounds influences of added particles on bubble dynamics. Main conclusions and suggestions for future researches are put forward at last.
Keywordsgas-liquid-solid slurry bubble columnsparticlesturbulent flowsbubblesmultiscale

第一作者:安敏(1990—),女,博士研究生,讲师,anmin@zzu.edu.cn

通讯作者:李翔南(1986—),男,博士,讲师,xnli@htu.edu.cn

最新文章

随机文章

基本 文件 流程 错误 SQL 调试
  1. 请求信息 : 2026-04-20 18:55:53 HTTP/2.0 GET : https://i.460.net.cn/a/516801.html
  2. 运行时间 : 0.109365s [ 吞吐率:9.14req/s ] 内存消耗:4,589.38kb 文件加载:140
  3. 缓存信息 : 0 reads,0 writes
  4. 会话信息 : SESSION_ID=1feace9a8e64d8a9e90aa5a7a4b9dc00
  1. /yingpanguazai/ssd/ssd1/www/i.460.net.cn/public/index.php ( 0.79 KB )
  2. /yingpanguazai/ssd/ssd1/www/i.460.net.cn/vendor/autoload.php ( 0.17 KB )
  3. /yingpanguazai/ssd/ssd1/www/i.460.net.cn/vendor/composer/autoload_real.php ( 2.49 KB )
  4. /yingpanguazai/ssd/ssd1/www/i.460.net.cn/vendor/composer/platform_check.php ( 0.90 KB )
  5. /yingpanguazai/ssd/ssd1/www/i.460.net.cn/vendor/composer/ClassLoader.php ( 14.03 KB )
  6. /yingpanguazai/ssd/ssd1/www/i.460.net.cn/vendor/composer/autoload_static.php ( 4.90 KB )
  7. /yingpanguazai/ssd/ssd1/www/i.460.net.cn/vendor/topthink/think-helper/src/helper.php ( 8.34 KB )
  8. /yingpanguazai/ssd/ssd1/www/i.460.net.cn/vendor/topthink/think-validate/src/helper.php ( 2.19 KB )
  9. /yingpanguazai/ssd/ssd1/www/i.460.net.cn/vendor/topthink/think-orm/src/helper.php ( 1.47 KB )
  10. /yingpanguazai/ssd/ssd1/www/i.460.net.cn/vendor/topthink/think-orm/stubs/load_stubs.php ( 0.16 KB )
  11. /yingpanguazai/ssd/ssd1/www/i.460.net.cn/vendor/topthink/framework/src/think/Exception.php ( 1.69 KB )
  12. /yingpanguazai/ssd/ssd1/www/i.460.net.cn/vendor/topthink/think-container/src/Facade.php ( 2.71 KB )
  13. /yingpanguazai/ssd/ssd1/www/i.460.net.cn/vendor/symfony/deprecation-contracts/function.php ( 0.99 KB )
  14. /yingpanguazai/ssd/ssd1/www/i.460.net.cn/vendor/symfony/polyfill-mbstring/bootstrap.php ( 8.26 KB )
  15. /yingpanguazai/ssd/ssd1/www/i.460.net.cn/vendor/symfony/polyfill-mbstring/bootstrap80.php ( 9.78 KB )
  16. /yingpanguazai/ssd/ssd1/www/i.460.net.cn/vendor/symfony/var-dumper/Resources/functions/dump.php ( 1.49 KB )
  17. /yingpanguazai/ssd/ssd1/www/i.460.net.cn/vendor/topthink/think-dumper/src/helper.php ( 0.18 KB )
  18. /yingpanguazai/ssd/ssd1/www/i.460.net.cn/vendor/symfony/var-dumper/VarDumper.php ( 4.30 KB )
  19. /yingpanguazai/ssd/ssd1/www/i.460.net.cn/vendor/topthink/framework/src/think/App.php ( 15.30 KB )
  20. /yingpanguazai/ssd/ssd1/www/i.460.net.cn/vendor/topthink/think-container/src/Container.php ( 15.76 KB )
  21. /yingpanguazai/ssd/ssd1/www/i.460.net.cn/vendor/psr/container/src/ContainerInterface.php ( 1.02 KB )
  22. /yingpanguazai/ssd/ssd1/www/i.460.net.cn/app/provider.php ( 0.19 KB )
  23. /yingpanguazai/ssd/ssd1/www/i.460.net.cn/vendor/topthink/framework/src/think/Http.php ( 6.04 KB )
  24. /yingpanguazai/ssd/ssd1/www/i.460.net.cn/vendor/topthink/think-helper/src/helper/Str.php ( 7.29 KB )
  25. /yingpanguazai/ssd/ssd1/www/i.460.net.cn/vendor/topthink/framework/src/think/Env.php ( 4.68 KB )
  26. /yingpanguazai/ssd/ssd1/www/i.460.net.cn/app/common.php ( 0.03 KB )
  27. /yingpanguazai/ssd/ssd1/www/i.460.net.cn/vendor/topthink/framework/src/helper.php ( 18.78 KB )
  28. /yingpanguazai/ssd/ssd1/www/i.460.net.cn/vendor/topthink/framework/src/think/Config.php ( 5.54 KB )
  29. /yingpanguazai/ssd/ssd1/www/i.460.net.cn/config/app.php ( 0.95 KB )
  30. /yingpanguazai/ssd/ssd1/www/i.460.net.cn/config/cache.php ( 0.78 KB )
  31. /yingpanguazai/ssd/ssd1/www/i.460.net.cn/config/console.php ( 0.23 KB )
  32. /yingpanguazai/ssd/ssd1/www/i.460.net.cn/config/cookie.php ( 0.56 KB )
  33. /yingpanguazai/ssd/ssd1/www/i.460.net.cn/config/database.php ( 2.47 KB )
  34. /yingpanguazai/ssd/ssd1/www/i.460.net.cn/vendor/topthink/framework/src/think/facade/Env.php ( 1.67 KB )
  35. /yingpanguazai/ssd/ssd1/www/i.460.net.cn/config/filesystem.php ( 0.61 KB )
  36. /yingpanguazai/ssd/ssd1/www/i.460.net.cn/config/lang.php ( 0.91 KB )
  37. /yingpanguazai/ssd/ssd1/www/i.460.net.cn/config/log.php ( 1.35 KB )
  38. /yingpanguazai/ssd/ssd1/www/i.460.net.cn/config/middleware.php ( 0.19 KB )
  39. /yingpanguazai/ssd/ssd1/www/i.460.net.cn/config/route.php ( 1.89 KB )
  40. /yingpanguazai/ssd/ssd1/www/i.460.net.cn/config/session.php ( 0.57 KB )
  41. /yingpanguazai/ssd/ssd1/www/i.460.net.cn/config/trace.php ( 0.34 KB )
  42. /yingpanguazai/ssd/ssd1/www/i.460.net.cn/config/view.php ( 0.82 KB )
  43. /yingpanguazai/ssd/ssd1/www/i.460.net.cn/app/event.php ( 0.25 KB )
  44. /yingpanguazai/ssd/ssd1/www/i.460.net.cn/vendor/topthink/framework/src/think/Event.php ( 7.67 KB )
  45. /yingpanguazai/ssd/ssd1/www/i.460.net.cn/app/service.php ( 0.13 KB )
  46. /yingpanguazai/ssd/ssd1/www/i.460.net.cn/app/AppService.php ( 0.26 KB )
  47. /yingpanguazai/ssd/ssd1/www/i.460.net.cn/vendor/topthink/framework/src/think/Service.php ( 1.64 KB )
  48. /yingpanguazai/ssd/ssd1/www/i.460.net.cn/vendor/topthink/framework/src/think/Lang.php ( 7.35 KB )
  49. /yingpanguazai/ssd/ssd1/www/i.460.net.cn/vendor/topthink/framework/src/lang/zh-cn.php ( 13.70 KB )
  50. /yingpanguazai/ssd/ssd1/www/i.460.net.cn/vendor/topthink/framework/src/think/initializer/Error.php ( 3.31 KB )
  51. /yingpanguazai/ssd/ssd1/www/i.460.net.cn/vendor/topthink/framework/src/think/initializer/RegisterService.php ( 1.33 KB )
  52. /yingpanguazai/ssd/ssd1/www/i.460.net.cn/vendor/services.php ( 0.14 KB )
  53. /yingpanguazai/ssd/ssd1/www/i.460.net.cn/vendor/topthink/framework/src/think/service/PaginatorService.php ( 1.52 KB )
  54. /yingpanguazai/ssd/ssd1/www/i.460.net.cn/vendor/topthink/framework/src/think/service/ValidateService.php ( 0.99 KB )
  55. /yingpanguazai/ssd/ssd1/www/i.460.net.cn/vendor/topthink/framework/src/think/service/ModelService.php ( 2.04 KB )
  56. /yingpanguazai/ssd/ssd1/www/i.460.net.cn/vendor/topthink/think-trace/src/Service.php ( 0.77 KB )
  57. /yingpanguazai/ssd/ssd1/www/i.460.net.cn/vendor/topthink/framework/src/think/Middleware.php ( 6.72 KB )
  58. /yingpanguazai/ssd/ssd1/www/i.460.net.cn/vendor/topthink/framework/src/think/initializer/BootService.php ( 0.77 KB )
  59. /yingpanguazai/ssd/ssd1/www/i.460.net.cn/vendor/topthink/think-orm/src/Paginator.php ( 11.86 KB )
  60. /yingpanguazai/ssd/ssd1/www/i.460.net.cn/vendor/topthink/think-validate/src/Validate.php ( 63.20 KB )
  61. /yingpanguazai/ssd/ssd1/www/i.460.net.cn/vendor/topthink/think-orm/src/Model.php ( 23.55 KB )
  62. /yingpanguazai/ssd/ssd1/www/i.460.net.cn/vendor/topthink/think-orm/src/model/concern/Attribute.php ( 21.05 KB )
  63. /yingpanguazai/ssd/ssd1/www/i.460.net.cn/vendor/topthink/think-orm/src/model/concern/AutoWriteData.php ( 4.21 KB )
  64. /yingpanguazai/ssd/ssd1/www/i.460.net.cn/vendor/topthink/think-orm/src/model/concern/Conversion.php ( 6.44 KB )
  65. /yingpanguazai/ssd/ssd1/www/i.460.net.cn/vendor/topthink/think-orm/src/model/concern/DbConnect.php ( 5.16 KB )
  66. /yingpanguazai/ssd/ssd1/www/i.460.net.cn/vendor/topthink/think-orm/src/model/concern/ModelEvent.php ( 2.33 KB )
  67. /yingpanguazai/ssd/ssd1/www/i.460.net.cn/vendor/topthink/think-orm/src/model/concern/RelationShip.php ( 28.29 KB )
  68. /yingpanguazai/ssd/ssd1/www/i.460.net.cn/vendor/topthink/think-helper/src/contract/Arrayable.php ( 0.09 KB )
  69. /yingpanguazai/ssd/ssd1/www/i.460.net.cn/vendor/topthink/think-helper/src/contract/Jsonable.php ( 0.13 KB )
  70. /yingpanguazai/ssd/ssd1/www/i.460.net.cn/vendor/topthink/think-orm/src/model/contract/Modelable.php ( 0.09 KB )
  71. /yingpanguazai/ssd/ssd1/www/i.460.net.cn/vendor/topthink/framework/src/think/Db.php ( 2.88 KB )
  72. /yingpanguazai/ssd/ssd1/www/i.460.net.cn/vendor/topthink/think-orm/src/DbManager.php ( 8.52 KB )
  73. /yingpanguazai/ssd/ssd1/www/i.460.net.cn/vendor/topthink/framework/src/think/Log.php ( 6.28 KB )
  74. /yingpanguazai/ssd/ssd1/www/i.460.net.cn/vendor/topthink/framework/src/think/Manager.php ( 3.92 KB )
  75. /yingpanguazai/ssd/ssd1/www/i.460.net.cn/vendor/psr/log/src/LoggerTrait.php ( 2.69 KB )
  76. /yingpanguazai/ssd/ssd1/www/i.460.net.cn/vendor/psr/log/src/LoggerInterface.php ( 2.71 KB )
  77. /yingpanguazai/ssd/ssd1/www/i.460.net.cn/vendor/topthink/framework/src/think/Cache.php ( 4.92 KB )
  78. /yingpanguazai/ssd/ssd1/www/i.460.net.cn/vendor/psr/simple-cache/src/CacheInterface.php ( 4.71 KB )
  79. /yingpanguazai/ssd/ssd1/www/i.460.net.cn/vendor/topthink/think-helper/src/helper/Arr.php ( 16.63 KB )
  80. /yingpanguazai/ssd/ssd1/www/i.460.net.cn/vendor/topthink/framework/src/think/cache/driver/File.php ( 7.84 KB )
  81. /yingpanguazai/ssd/ssd1/www/i.460.net.cn/vendor/topthink/framework/src/think/cache/Driver.php ( 9.03 KB )
  82. /yingpanguazai/ssd/ssd1/www/i.460.net.cn/vendor/topthink/framework/src/think/contract/CacheHandlerInterface.php ( 1.99 KB )
  83. /yingpanguazai/ssd/ssd1/www/i.460.net.cn/app/Request.php ( 0.09 KB )
  84. /yingpanguazai/ssd/ssd1/www/i.460.net.cn/vendor/topthink/framework/src/think/Request.php ( 55.78 KB )
  85. /yingpanguazai/ssd/ssd1/www/i.460.net.cn/app/middleware.php ( 0.25 KB )
  86. /yingpanguazai/ssd/ssd1/www/i.460.net.cn/vendor/topthink/framework/src/think/Pipeline.php ( 2.61 KB )
  87. /yingpanguazai/ssd/ssd1/www/i.460.net.cn/vendor/topthink/think-trace/src/TraceDebug.php ( 3.40 KB )
  88. /yingpanguazai/ssd/ssd1/www/i.460.net.cn/vendor/topthink/framework/src/think/middleware/SessionInit.php ( 1.94 KB )
  89. /yingpanguazai/ssd/ssd1/www/i.460.net.cn/vendor/topthink/framework/src/think/Session.php ( 1.80 KB )
  90. /yingpanguazai/ssd/ssd1/www/i.460.net.cn/vendor/topthink/framework/src/think/session/driver/File.php ( 6.27 KB )
  91. /yingpanguazai/ssd/ssd1/www/i.460.net.cn/vendor/topthink/framework/src/think/contract/SessionHandlerInterface.php ( 0.87 KB )
  92. /yingpanguazai/ssd/ssd1/www/i.460.net.cn/vendor/topthink/framework/src/think/session/Store.php ( 7.12 KB )
  93. /yingpanguazai/ssd/ssd1/www/i.460.net.cn/vendor/topthink/framework/src/think/Route.php ( 23.73 KB )
  94. /yingpanguazai/ssd/ssd1/www/i.460.net.cn/vendor/topthink/framework/src/think/route/RuleName.php ( 5.75 KB )
  95. /yingpanguazai/ssd/ssd1/www/i.460.net.cn/vendor/topthink/framework/src/think/route/Domain.php ( 2.53 KB )
  96. /yingpanguazai/ssd/ssd1/www/i.460.net.cn/vendor/topthink/framework/src/think/route/RuleGroup.php ( 22.43 KB )
  97. /yingpanguazai/ssd/ssd1/www/i.460.net.cn/vendor/topthink/framework/src/think/route/Rule.php ( 26.95 KB )
  98. /yingpanguazai/ssd/ssd1/www/i.460.net.cn/vendor/topthink/framework/src/think/route/RuleItem.php ( 9.78 KB )
  99. /yingpanguazai/ssd/ssd1/www/i.460.net.cn/route/app.php ( 1.72 KB )
  100. /yingpanguazai/ssd/ssd1/www/i.460.net.cn/vendor/topthink/framework/src/think/facade/Route.php ( 4.70 KB )
  101. /yingpanguazai/ssd/ssd1/www/i.460.net.cn/vendor/topthink/framework/src/think/route/dispatch/Controller.php ( 4.74 KB )
  102. /yingpanguazai/ssd/ssd1/www/i.460.net.cn/vendor/topthink/framework/src/think/route/Dispatch.php ( 10.44 KB )
  103. /yingpanguazai/ssd/ssd1/www/i.460.net.cn/app/controller/Index.php ( 4.81 KB )
  104. /yingpanguazai/ssd/ssd1/www/i.460.net.cn/app/BaseController.php ( 2.05 KB )
  105. /yingpanguazai/ssd/ssd1/www/i.460.net.cn/vendor/topthink/think-orm/src/facade/Db.php ( 0.93 KB )
  106. /yingpanguazai/ssd/ssd1/www/i.460.net.cn/vendor/topthink/think-orm/src/db/connector/Mysql.php ( 5.44 KB )
  107. /yingpanguazai/ssd/ssd1/www/i.460.net.cn/vendor/topthink/think-orm/src/db/PDOConnection.php ( 52.47 KB )
  108. /yingpanguazai/ssd/ssd1/www/i.460.net.cn/vendor/topthink/think-orm/src/db/Connection.php ( 8.39 KB )
  109. /yingpanguazai/ssd/ssd1/www/i.460.net.cn/vendor/topthink/think-orm/src/db/ConnectionInterface.php ( 4.57 KB )
  110. /yingpanguazai/ssd/ssd1/www/i.460.net.cn/vendor/topthink/think-orm/src/db/builder/Mysql.php ( 16.58 KB )
  111. /yingpanguazai/ssd/ssd1/www/i.460.net.cn/vendor/topthink/think-orm/src/db/Builder.php ( 24.06 KB )
  112. /yingpanguazai/ssd/ssd1/www/i.460.net.cn/vendor/topthink/think-orm/src/db/BaseBuilder.php ( 27.50 KB )
  113. /yingpanguazai/ssd/ssd1/www/i.460.net.cn/vendor/topthink/think-orm/src/db/Query.php ( 15.71 KB )
  114. /yingpanguazai/ssd/ssd1/www/i.460.net.cn/vendor/topthink/think-orm/src/db/BaseQuery.php ( 45.13 KB )
  115. /yingpanguazai/ssd/ssd1/www/i.460.net.cn/vendor/topthink/think-orm/src/db/concern/TimeFieldQuery.php ( 7.43 KB )
  116. /yingpanguazai/ssd/ssd1/www/i.460.net.cn/vendor/topthink/think-orm/src/db/concern/AggregateQuery.php ( 3.26 KB )
  117. /yingpanguazai/ssd/ssd1/www/i.460.net.cn/vendor/topthink/think-orm/src/db/concern/ModelRelationQuery.php ( 20.07 KB )
  118. /yingpanguazai/ssd/ssd1/www/i.460.net.cn/vendor/topthink/think-orm/src/db/concern/ParamsBind.php ( 3.66 KB )
  119. /yingpanguazai/ssd/ssd1/www/i.460.net.cn/vendor/topthink/think-orm/src/db/concern/ResultOperation.php ( 7.01 KB )
  120. /yingpanguazai/ssd/ssd1/www/i.460.net.cn/vendor/topthink/think-orm/src/db/concern/WhereQuery.php ( 19.37 KB )
  121. /yingpanguazai/ssd/ssd1/www/i.460.net.cn/vendor/topthink/think-orm/src/db/concern/JoinAndViewQuery.php ( 7.11 KB )
  122. /yingpanguazai/ssd/ssd1/www/i.460.net.cn/vendor/topthink/think-orm/src/db/concern/TableFieldInfo.php ( 2.63 KB )
  123. /yingpanguazai/ssd/ssd1/www/i.460.net.cn/vendor/topthink/think-orm/src/db/concern/Transaction.php ( 2.77 KB )
  124. /yingpanguazai/ssd/ssd1/www/i.460.net.cn/vendor/topthink/framework/src/think/log/driver/File.php ( 5.96 KB )
  125. /yingpanguazai/ssd/ssd1/www/i.460.net.cn/vendor/topthink/framework/src/think/contract/LogHandlerInterface.php ( 0.86 KB )
  126. /yingpanguazai/ssd/ssd1/www/i.460.net.cn/vendor/topthink/framework/src/think/log/Channel.php ( 3.89 KB )
  127. /yingpanguazai/ssd/ssd1/www/i.460.net.cn/vendor/topthink/framework/src/think/event/LogRecord.php ( 1.02 KB )
  128. /yingpanguazai/ssd/ssd1/www/i.460.net.cn/vendor/topthink/think-helper/src/Collection.php ( 16.47 KB )
  129. /yingpanguazai/ssd/ssd1/www/i.460.net.cn/vendor/topthink/framework/src/think/facade/View.php ( 1.70 KB )
  130. /yingpanguazai/ssd/ssd1/www/i.460.net.cn/vendor/topthink/framework/src/think/View.php ( 4.39 KB )
  131. /yingpanguazai/ssd/ssd1/www/i.460.net.cn/vendor/topthink/framework/src/think/Response.php ( 8.81 KB )
  132. /yingpanguazai/ssd/ssd1/www/i.460.net.cn/vendor/topthink/framework/src/think/response/View.php ( 3.29 KB )
  133. /yingpanguazai/ssd/ssd1/www/i.460.net.cn/vendor/topthink/framework/src/think/Cookie.php ( 6.06 KB )
  134. /yingpanguazai/ssd/ssd1/www/i.460.net.cn/vendor/topthink/think-view/src/Think.php ( 8.38 KB )
  135. /yingpanguazai/ssd/ssd1/www/i.460.net.cn/vendor/topthink/framework/src/think/contract/TemplateHandlerInterface.php ( 1.60 KB )
  136. /yingpanguazai/ssd/ssd1/www/i.460.net.cn/vendor/topthink/think-template/src/Template.php ( 46.61 KB )
  137. /yingpanguazai/ssd/ssd1/www/i.460.net.cn/vendor/topthink/think-template/src/template/driver/File.php ( 2.41 KB )
  138. /yingpanguazai/ssd/ssd1/www/i.460.net.cn/vendor/topthink/think-template/src/template/contract/DriverInterface.php ( 0.86 KB )
  139. /yingpanguazai/ssd/ssd1/www/i.460.net.cn/runtime/temp/ea612fc1da910b74827694dd9af81119.php ( 11.98 KB )
  140. /yingpanguazai/ssd/ssd1/www/i.460.net.cn/vendor/topthink/think-trace/src/Html.php ( 4.42 KB )
  1. CONNECT:[ UseTime:0.000431s ] mysql:host=127.0.0.1;port=3306;dbname=i460;charset=utf8mb4
  2. SHOW FULL COLUMNS FROM `fenlei` [ RunTime:0.000652s ]
  3. SELECT * FROM `fenlei` WHERE `fid` = 0 [ RunTime:0.000273s ]
  4. SELECT * FROM `fenlei` WHERE `fid` = 63 [ RunTime:0.000263s ]
  5. SHOW FULL COLUMNS FROM `set` [ RunTime:0.000570s ]
  6. SELECT * FROM `set` [ RunTime:0.012377s ]
  7. SHOW FULL COLUMNS FROM `article` [ RunTime:0.000779s ]
  8. SELECT * FROM `article` WHERE `id` = 516801 LIMIT 1 [ RunTime:0.001937s ]
  9. UPDATE `article` SET `lasttime` = 1776682553 WHERE `id` = 516801 [ RunTime:0.001889s ]
  10. SELECT * FROM `fenlei` WHERE `id` = 64 LIMIT 1 [ RunTime:0.000264s ]
  11. SELECT * FROM `article` WHERE `id` < 516801 ORDER BY `id` DESC LIMIT 1 [ RunTime:0.001712s ]
  12. SELECT * FROM `article` WHERE `id` > 516801 ORDER BY `id` ASC LIMIT 1 [ RunTime:0.002770s ]
  13. SELECT * FROM `article` WHERE `id` < 516801 ORDER BY `id` DESC LIMIT 10 [ RunTime:0.009598s ]
  14. SELECT * FROM `article` WHERE `id` < 516801 ORDER BY `id` DESC LIMIT 10,10 [ RunTime:0.001989s ]
  15. SELECT * FROM `article` WHERE `id` < 516801 ORDER BY `id` DESC LIMIT 20,10 [ RunTime:0.003613s ]
0.110898s